🇳🇴 🇬🇧 🇩🇪 🇨🇿 🇫🇮

Meteor Skjærhaldenin yllä 2021-08-04 23:44:34 UTC

KML-tiedosto  |  Interaktiivinen kartta

Kartta näyttää meteorin suuntahavainnot. Vaaleammat viivat näyttävät suunnat havaintoasemilta meteorin ilmestyessä, ja tummemmat viivat näyttävät, missä se viimeksi nähtiin. Sininen nuoli näyttää meteorin näkyvän lennon.

static map
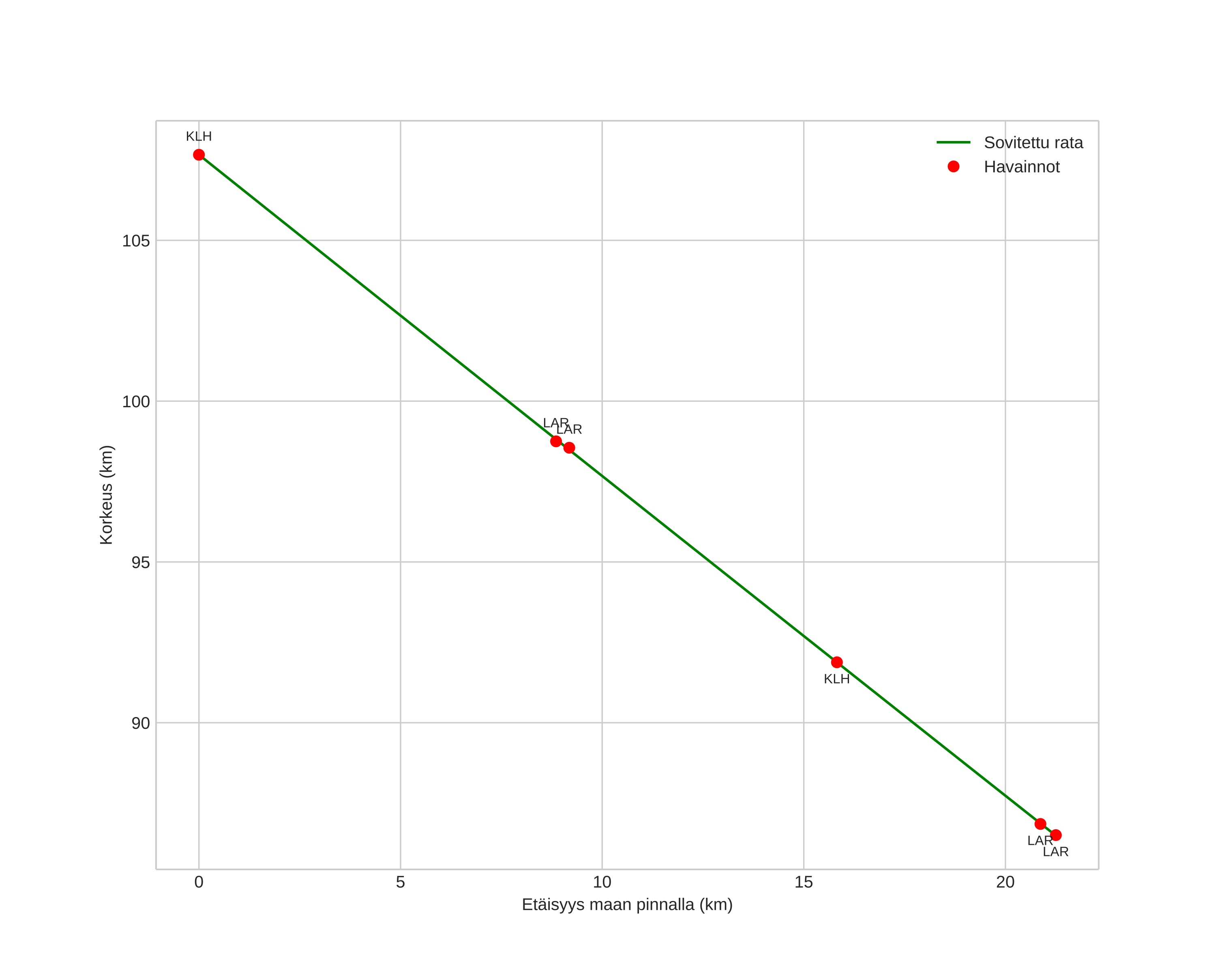
height profile
Meteorin ilmakehärata:
Alkukorkeus: 107,3 km
Loppukorkeus: 86,5 km
Alkupiste: 58,971N 11,073E
Loppupiste: 58,849N 10,804E
Suunta: 228,9°
Kallistuskulma: 45,3°
Tulonopeus: 44,5 km/s
Radiantin R,A,: 03:38 (54,6°)
Radiantin Dekl,: 57,6°
Meteoriparvi: Sporadinen
Meteoroidin rataelementit:
Perihelietäisyys: 0,525 AU
Eksentrisyys: 0,478
Inklinaatio: 94,1°
Nousevan solmun pituus: 132,5°
Perihelin argumentti: 60,6°
Keskianomalia: 63,6°
Epookki: 2021 AUG 04 23:44:34
orbit plot

Ei-interaktiivinen kuvaaja | Interaktiivinen kuvaaja

position vs time
speed and acceleration