🇳🇴 🇬🇧 🇩🇪 🇨🇿 🇫🇮

Meteor, poloha: Hanstholm 2021-08-07 22:01:41 UTC

Soubor KML  |  InteraktivnĂ­ mapa

Mapa zobrazuje dráhy meteoru. Světlejší čáry ukazují směry od pozorovacích stanic při objevení se meteoru a tmavší čáry, kde byl naposledy viděn. Modrá šipka značí viditelnou dráhu meteoru.

static map
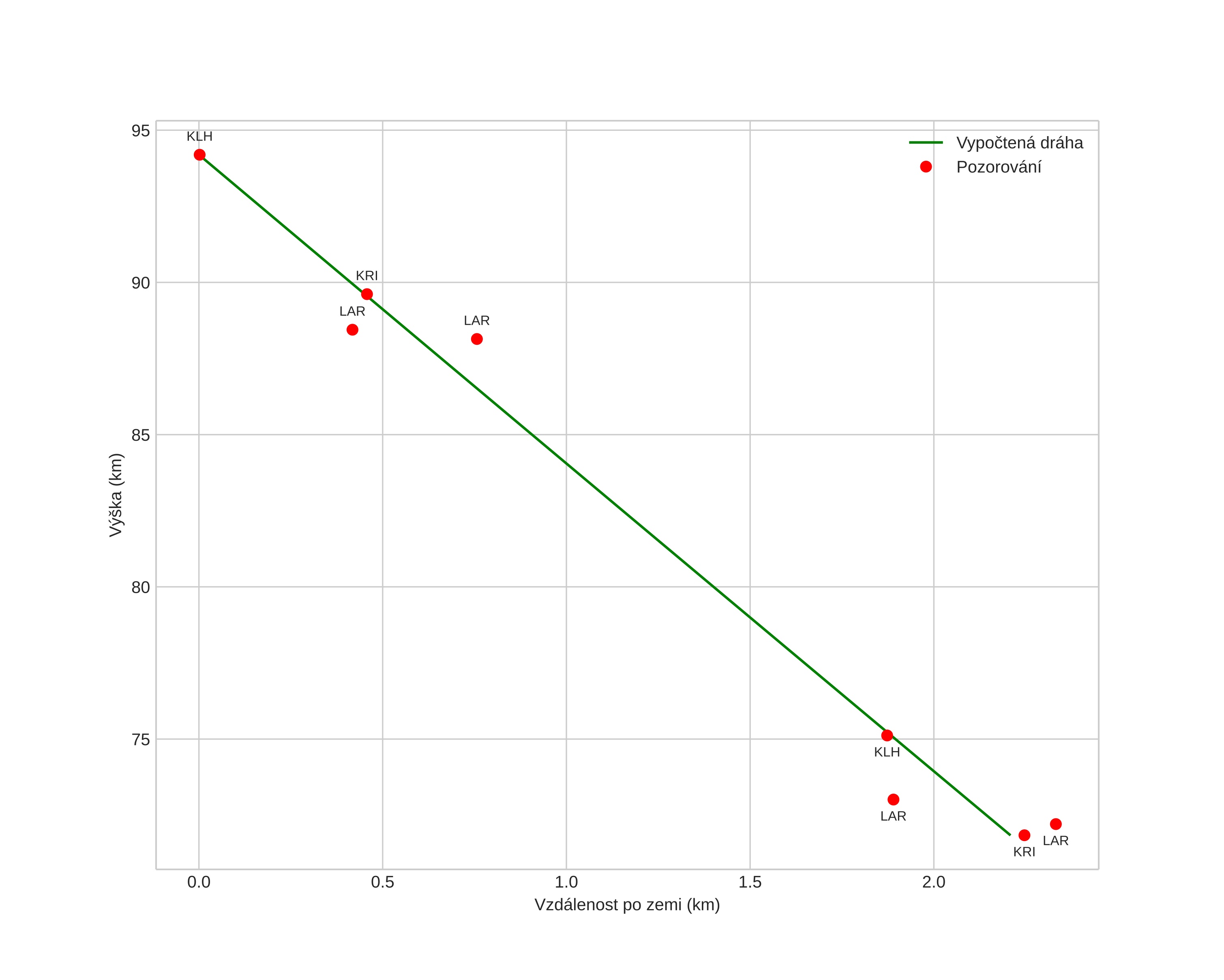
height profile
Atmosférická dráha meteoru:
Počáteční výška: 93,8 km
Konečná výška: 72,4 km
Počáteční poloha: 57,440N 8,800E
Konečná poloha: 57,437N 8,842E
Směr: 98,8°
Sklon: 83,2°
VstupnĂ­ rychlost: 30,5 km/s
Rektascenze radiantu: 18:47 (281,8°)
Deklinace radiantu: 57,5°
MeteorickĂ˝ roj: sporadickĂ˝
Elementy dráhy meteoroidu:
Vzdálenost v periheliu: 0,997 AU
Excentricita: 0,969
Sklon dráhy: 42,9°
Délka vzestupného uzlu: 135,3°
Argument perihelia: 195,2°
Střední anomálie: 359,9°
Epocha: 2021 AUG 07 22:01:41
orbit plot

NeinteraktivnĂ­ graf | InteraktivnĂ­ graf

position vs time
speed and acceleration