🇳🇴 🇬🇧 🇩🇪 🇨🇿 🇫🇮

Meteor Hanstholmin yllä 2021-08-07 22:01:41 UTC

KML-tiedosto  |  Interaktiivinen kartta

Kartta näyttää meteorin suuntahavainnot. Vaaleammat viivat näyttävät suunnat havaintoasemilta meteorin ilmestyessä, ja tummemmat viivat näyttävät, missä se viimeksi nähtiin. Sininen nuoli näyttää meteorin näkyvän lennon.

static map
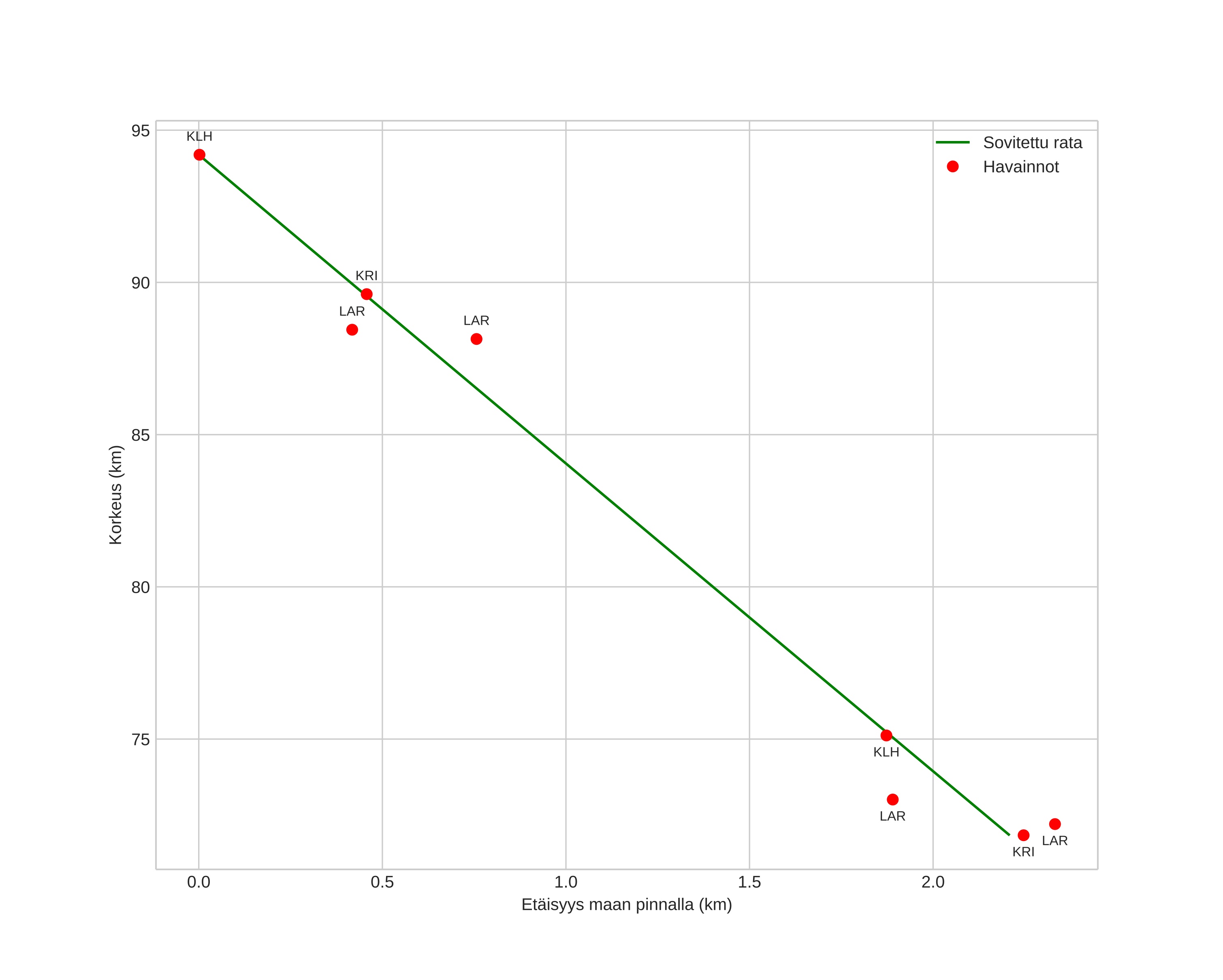
height profile
Meteorin ilmakehärata:
Alkukorkeus: 93,8 km
Loppukorkeus: 72,4 km
Alkupiste: 57,440N 8,800E
Loppupiste: 57,437N 8,842E
Suunta: 98,8°
Kallistuskulma: 83,2°
Tulonopeus: 30,5 km/s
Radiantin R,A,: 18:47 (281,8°)
Radiantin Dekl,: 57,5°
Meteoriparvi: Sporadinen
Meteoroidin rataelementit:
Perihelietäisyys: 0,997 AU
Eksentrisyys: 0,969
Inklinaatio: 42,9°
Nousevan solmun pituus: 135,3°
Perihelin argumentti: 195,2°
Keskianomalia: 359,9°
Epookki: 2021 AUG 07 22:01:41
orbit plot

Ei-interaktiivinen kuvaaja | Interaktiivinen kuvaaja

position vs time
speed and acceleration