🇳🇴 🇬🇧 🇩🇪 🇨🇿 🇫🇮

Meteor, poloha: Vigrestad 2021-08-08 22:34:54 UTC

Soubor KML  |  InteraktivnĂ­ mapa

Mapa zobrazuje dráhy meteoru. Světlejší čáry ukazují směry od pozorovacích stanic při objevení se meteoru a tmavší čáry, kde byl naposledy viděn. Modrá šipka značí viditelnou dráhu meteoru.

static map
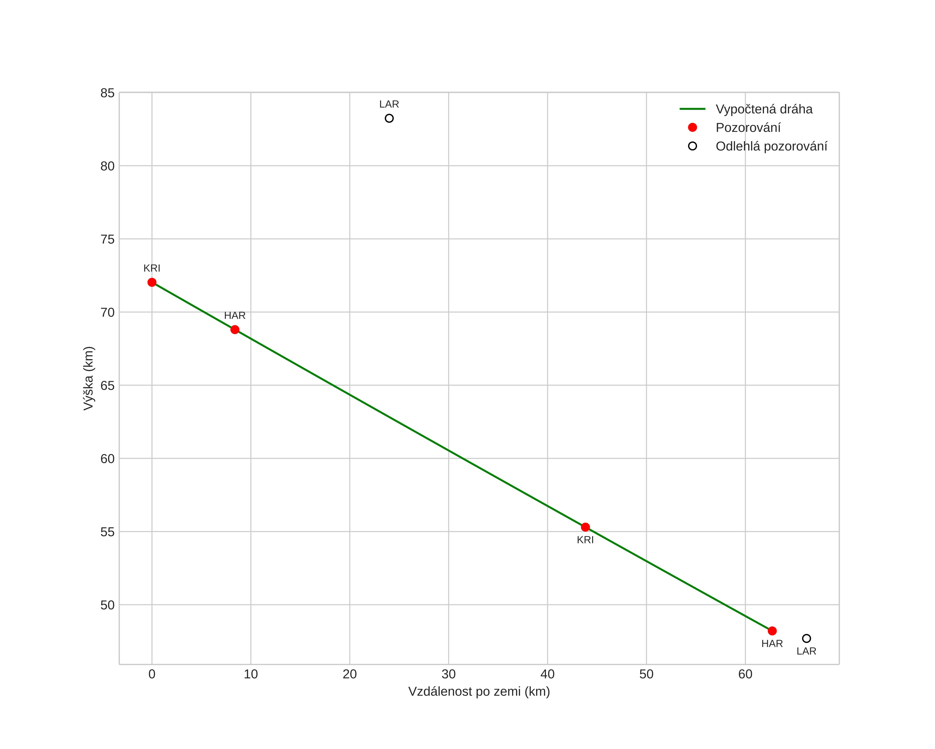
height profile
Atmosférická dráha meteoru:
Počáteční výška: 84,2 km
Konečná výška: 48,4 km
Počáteční poloha: 57,769N 5,774E
Konečná poloha: 58,589N 5,688E
Směr: 356,9°
Sklon: 21,4°
VstupnĂ­ rychlost: 19,4 km/s
Rektascenze radiantu: 20:16 (304,2°)
Deklinace radiantu: -18,6°
MeteorickĂ˝ roj: sporadickĂ˝
Elementy dráhy meteoroidu:
Vzdálenost v periheliu: 0,776 AU
Excentricita: 0,652
Sklon dráhy: 0,5°
Délka vzestupného uzlu: 136,5°
Argument perihelia: 245,9°
Střední anomálie: 347,2°
Epocha: 2021 AUG 08 22:34:54
orbit plot

NeinteraktivnĂ­ graf | InteraktivnĂ­ graf

position vs time
speed and acceleration