🇳🇴 🇬🇧 🇩🇪 🇨🇿 🇫🇮

Meteor Vigrestadin yllä 2021-08-08 22:34:54 UTC

KML-tiedosto  |  Interaktiivinen kartta

Kartta näyttää meteorin suuntahavainnot. Vaaleammat viivat näyttävät suunnat havaintoasemilta meteorin ilmestyessä, ja tummemmat viivat näyttävät, missä se viimeksi nähtiin. Sininen nuoli näyttää meteorin näkyvän lennon.

static map
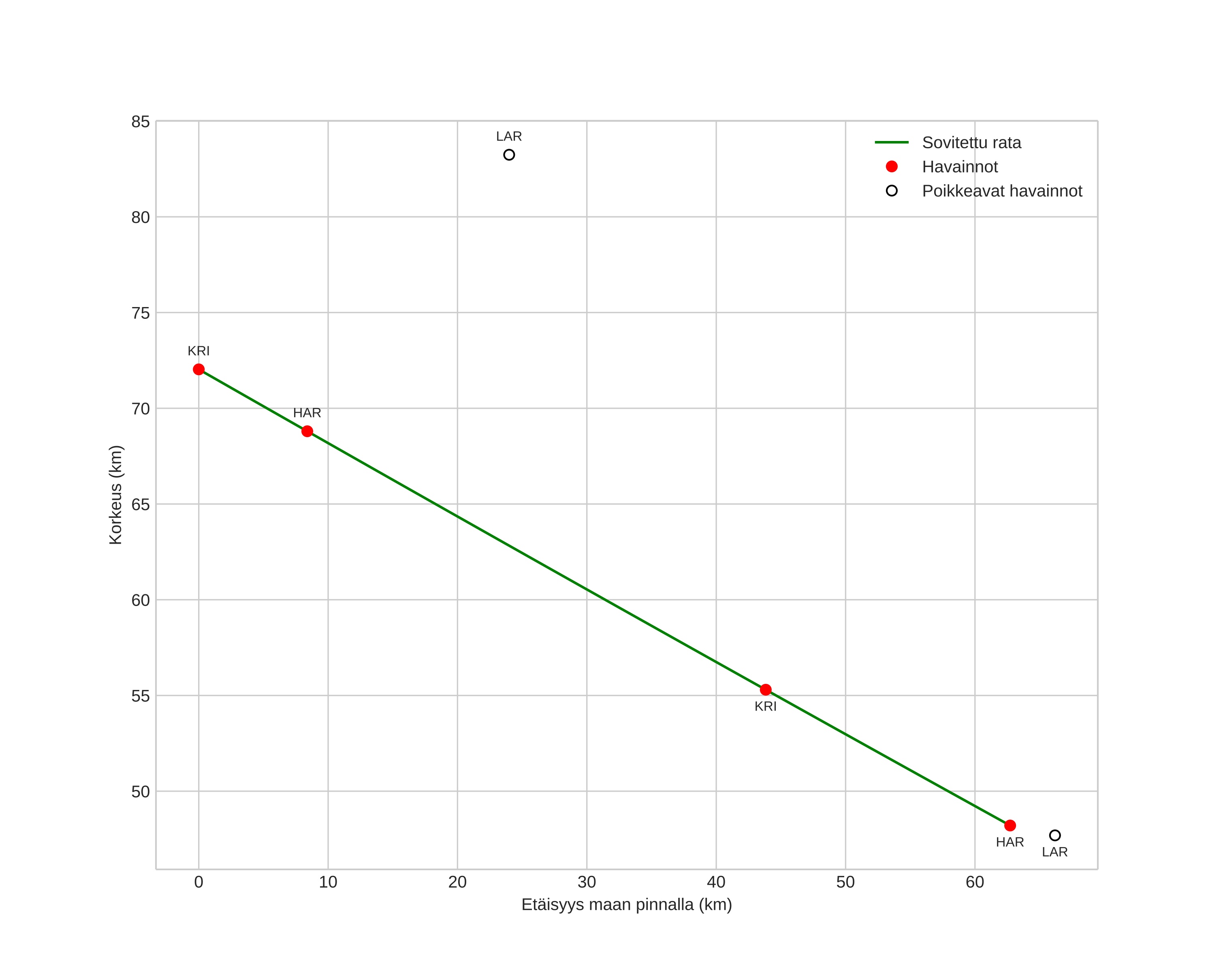
height profile
Meteorin ilmakehärata:
Alkukorkeus: 84,2 km
Loppukorkeus: 48,4 km
Alkupiste: 57,769N 5,774E
Loppupiste: 58,589N 5,688E
Suunta: 356,9°
Kallistuskulma: 21,4°
Tulonopeus: 19,4 km/s
Radiantin R,A,: 20:16 (304,2°)
Radiantin Dekl,: -18,6°
Meteoriparvi: Sporadinen
Meteoroidin rataelementit:
Perihelietäisyys: 0,776 AU
Eksentrisyys: 0,652
Inklinaatio: 0,5°
Nousevan solmun pituus: 136,5°
Perihelin argumentti: 245,9°
Keskianomalia: 347,2°
Epookki: 2021 AUG 08 22:34:54
orbit plot

Ei-interaktiivinen kuvaaja | Interaktiivinen kuvaaja

position vs time
speed and acceleration