🇳🇴 🇬🇧 🇩🇪 🇨🇿 🇫🇮

Meteor, poloha: Langesund 2021-08-11 00:54:37 UTC

Soubor KML  |  InteraktivnĂ­ mapa

Mapa zobrazuje dráhy meteoru. Světlejší čáry ukazují směry od pozorovacích stanic při objevení se meteoru a tmavší čáry, kde byl naposledy viděn. Modrá šipka značí viditelnou dráhu meteoru.

static map
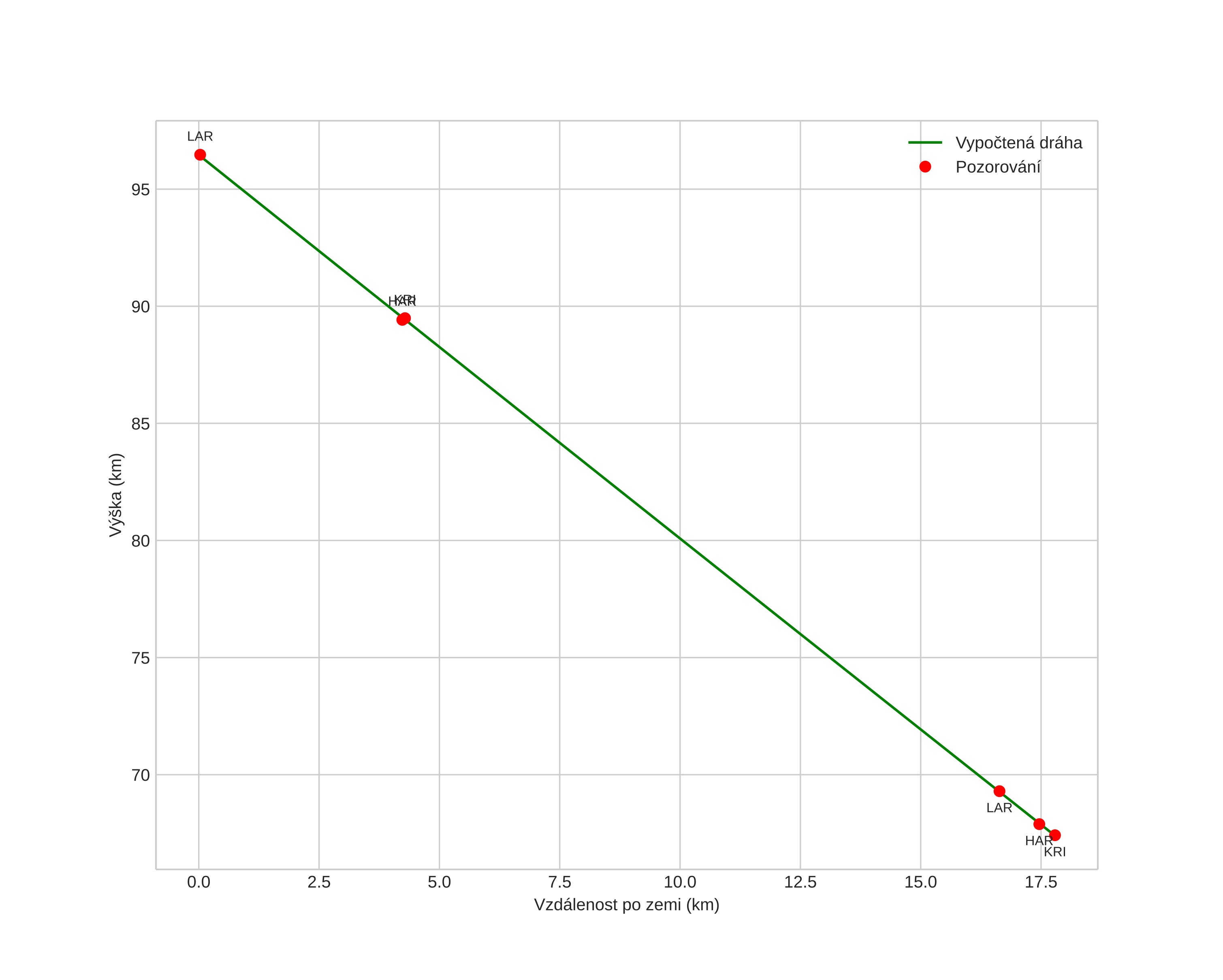
height profile
Atmosférická dráha meteoru:
Počáteční výška: 97,7 km
Konečná výška: 67,5 km
Počáteční poloha: 59,015N 9,518E
Konečná poloha: 58,980N 9,832E
Směr: 102,1°
Sklon: 58,7°
VstupnĂ­ rychlost: 25,4 km/s
Rektascenze radiantu: 18:57 (284,5°)
Deklinace radiantu: 50,6°
MeteorickĂ˝ roj: Kappa Cygnidy
Elementy dráhy meteoroidu:
Vzdálenost v periheliu: 0,975 AU
Excentricita: 0,741
Sklon dráhy: 35,0°
Délka vzestupného uzlu: 138,3°
Argument perihelia: 204,3°
Střední anomálie: 357,5°
Epocha: 2021 AUG 11 00:54:37
orbit plot

NeinteraktivnĂ­ graf | InteraktivnĂ­ graf

position vs time
speed and acceleration