🇳🇴 🇬🇧 🇩🇪 🇨🇿 🇫🇮

Meteor Langesundin yllä 2021-08-11 00:54:37 UTC

KML-tiedosto  |  Interaktiivinen kartta

Kartta näyttää meteorin suuntahavainnot. Vaaleammat viivat näyttävät suunnat havaintoasemilta meteorin ilmestyessä, ja tummemmat viivat näyttävät, missä se viimeksi nähtiin. Sininen nuoli näyttää meteorin näkyvän lennon.

static map
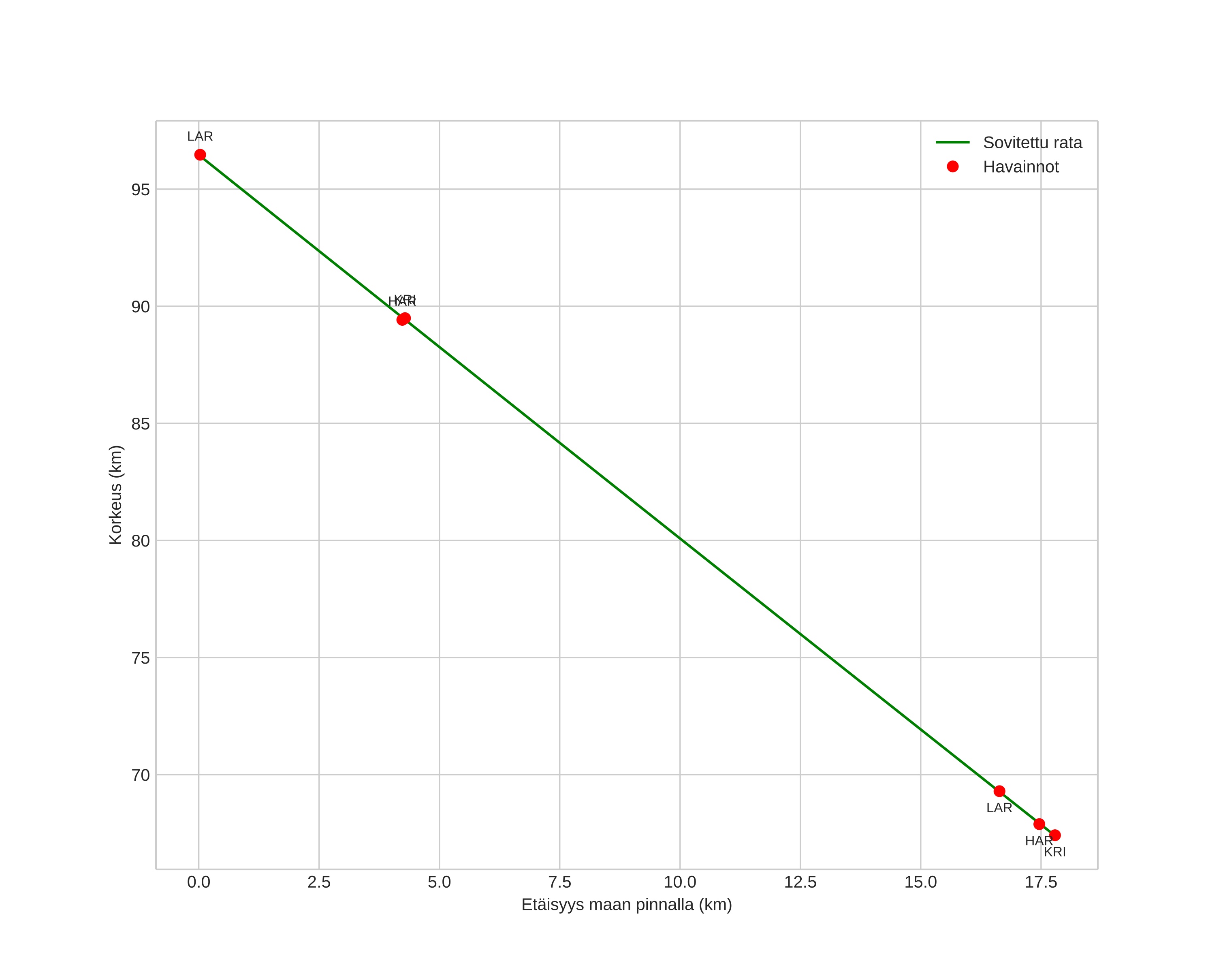
height profile
Meteorin ilmakehärata:
Alkukorkeus: 97,7 km
Loppukorkeus: 67,5 km
Alkupiste: 59,015N 9,518E
Loppupiste: 58,980N 9,832E
Suunta: 102,1°
Kallistuskulma: 58,7°
Tulonopeus: 25,4 km/s
Radiantin R,A,: 18:57 (284,5°)
Radiantin Dekl,: 50,6°
Meteoriparvi: Kappa-sygnidit
Meteoroidin rataelementit:
Perihelietäisyys: 0,975 AU
Eksentrisyys: 0,741
Inklinaatio: 35,0°
Nousevan solmun pituus: 138,3°
Perihelin argumentti: 204,3°
Keskianomalia: 357,5°
Epookki: 2021 AUG 11 00:54:37
orbit plot

Ei-interaktiivinen kuvaaja | Interaktiivinen kuvaaja

position vs time
speed and acceleration