🇳🇴 🇬🇧 🇩🇪 🇨🇿 🇫🇮

Meteor, poloha: Frogner 2021-08-11 22:35:47 UTC

Soubor KML  |  InteraktivnĂ­ mapa

Mapa zobrazuje dráhy meteoru. Světlejší čáry ukazují směry od pozorovacích stanic při objevení se meteoru a tmavší čáry, kde byl naposledy viděn. Modrá šipka značí viditelnou dráhu meteoru.

static map
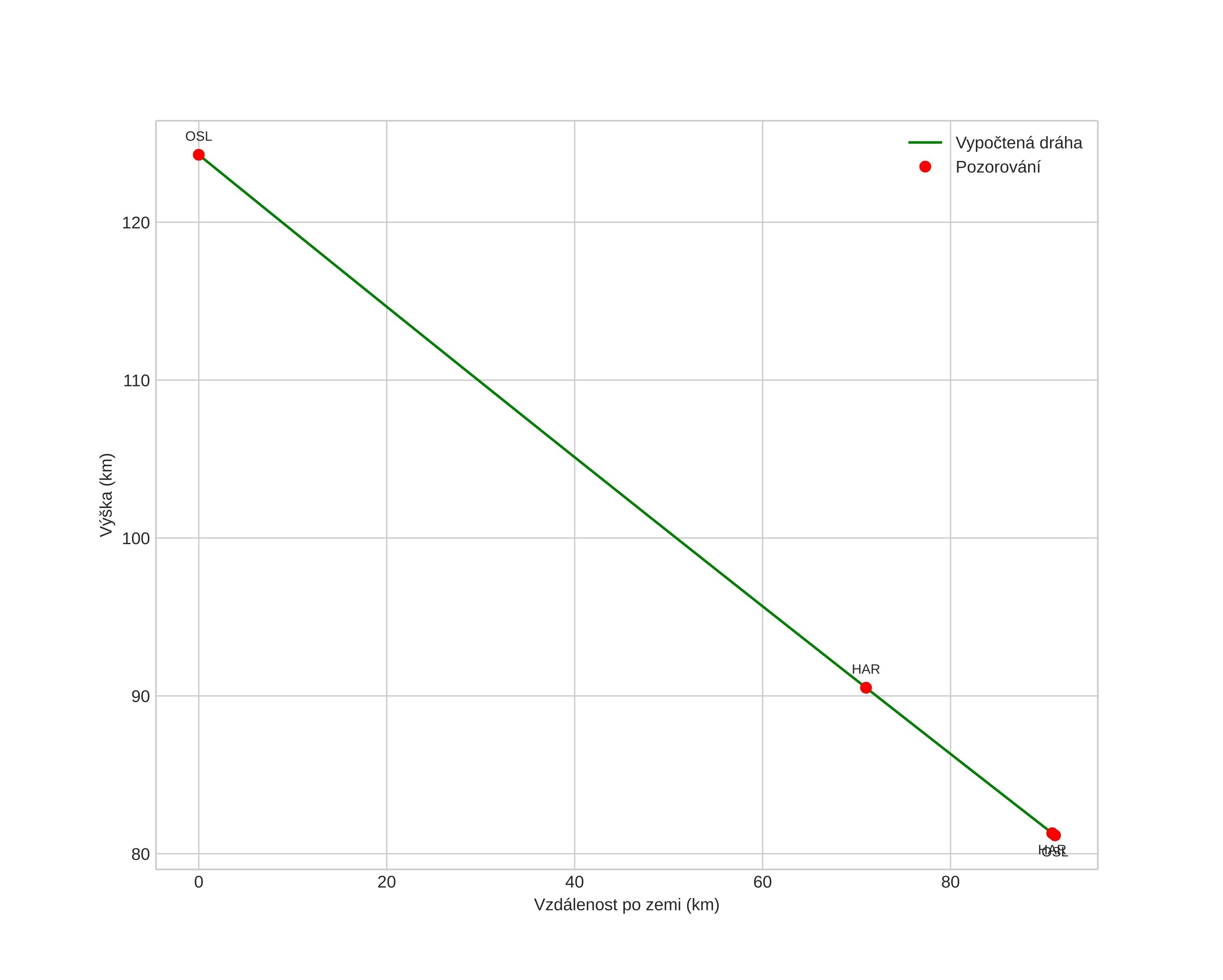
height profile
Atmosférická dráha meteoru:
Počáteční výška: 94,8 km
Konečná výška: 83,2 km
Počáteční poloha: 59,817N 11,376E
Konečná poloha: 60,032N 11,063E
Směr: 324,0°
Sklon: 21,4°
VstupnĂ­ rychlost: 43,2 km/s
Rektascenze radiantu: 22:55 (343,9°)
Deklinace radiantu: -5,0°
MeteorickĂ˝ roj: JiĹľnĂ­ Delta Akvaridy
Elementy dráhy meteoroidu:
Vzdálenost v periheliu: 0,091 AU
Excentricita: 0,987
Sklon dráhy: 5,7°
Délka vzestupného uzlu: 139,2°
Argument perihelia: 326,3°
Střední anomálie: 358,2°
Epocha: 2021 AUG 11 22:35:47
orbit plot

NeinteraktivnĂ­ graf | InteraktivnĂ­ graf

position vs time
speed and acceleration