🇳🇴 🇬🇧 🇩🇪 🇨🇿 🇫🇮

Meteor Frognerin yllä 2021-08-11 22:35:47 UTC

KML-tiedosto  |  Interaktiivinen kartta

Kartta näyttää meteorin suuntahavainnot. Vaaleammat viivat näyttävät suunnat havaintoasemilta meteorin ilmestyessä, ja tummemmat viivat näyttävät, missä se viimeksi nähtiin. Sininen nuoli näyttää meteorin näkyvän lennon.

static map
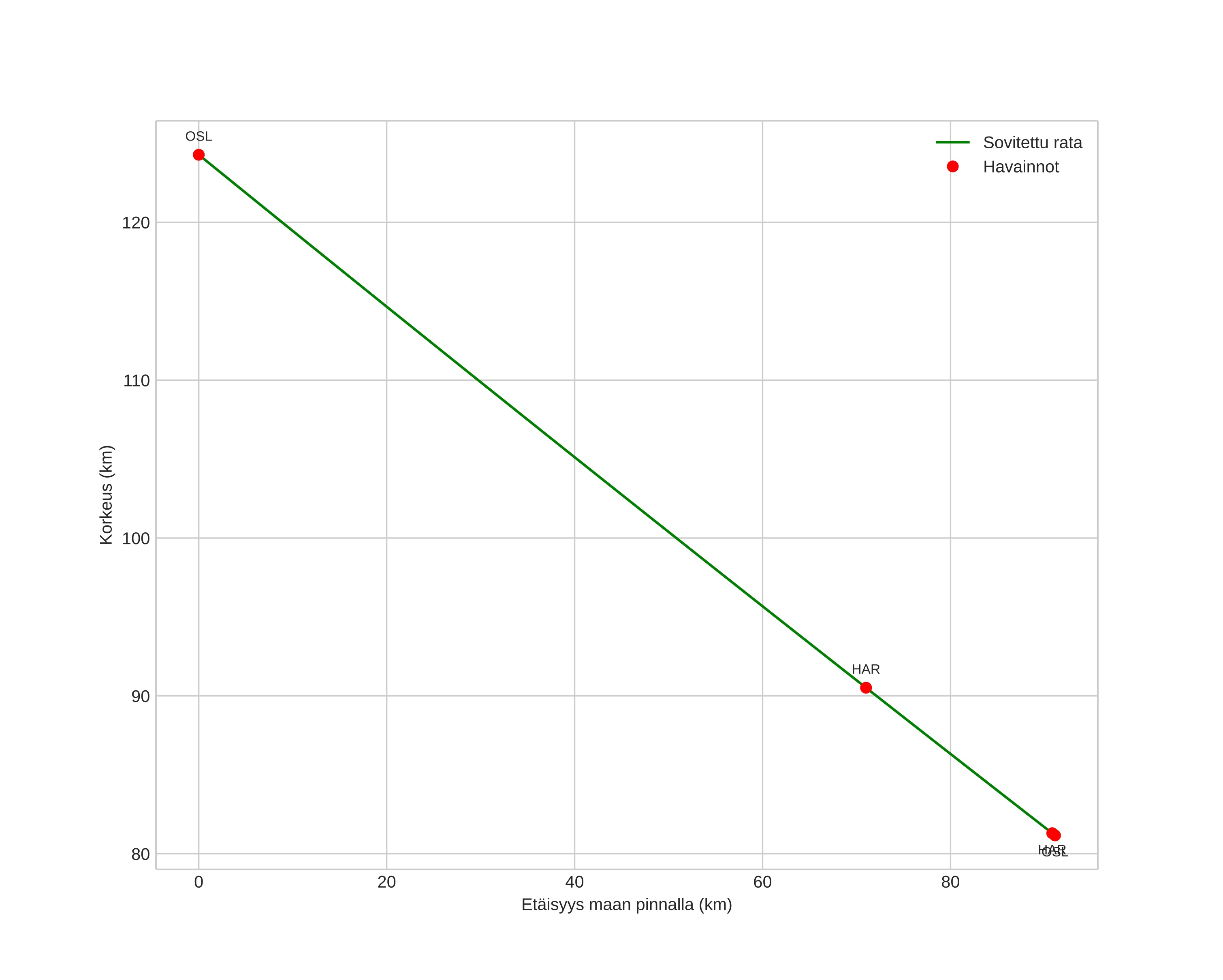
height profile
Meteorin ilmakehärata:
Alkukorkeus: 94,8 km
Loppukorkeus: 83,2 km
Alkupiste: 59,817N 11,376E
Loppupiste: 60,032N 11,063E
Suunta: 324,0°
Kallistuskulma: 21,4°
Tulonopeus: 43,2 km/s
Radiantin R,A,: 22:55 (343,9°)
Radiantin Dekl,: -5,0°
Meteoriparvi: Eteläiset delta-akvaridit
Meteoroidin rataelementit:
Perihelietäisyys: 0,091 AU
Eksentrisyys: 0,987
Inklinaatio: 5,7°
Nousevan solmun pituus: 139,2°
Perihelin argumentti: 326,3°
Keskianomalia: 358,2°
Epookki: 2021 AUG 11 22:35:47
orbit plot

Ei-interaktiivinen kuvaaja | Interaktiivinen kuvaaja

position vs time
speed and acceleration