🇳🇴 🇬🇧 🇩🇪 🇨🇿 🇫🇮

Meteor über Sæby 2021-08-13 23:35:32 UTC

KML-Datei  |  Interaktive Karte

Die Karte zeigt die Peilungen für den Meteor. Die helleren Linien zeigen die Richtungen von den Beobachtungsorten beim Erscheinen des Meteors, und die dunkleren Linien, wo er zuletzt gesehen wurde. Der blaue Pfeil zeigt die sichtbare Bahn des Meteors.

static map
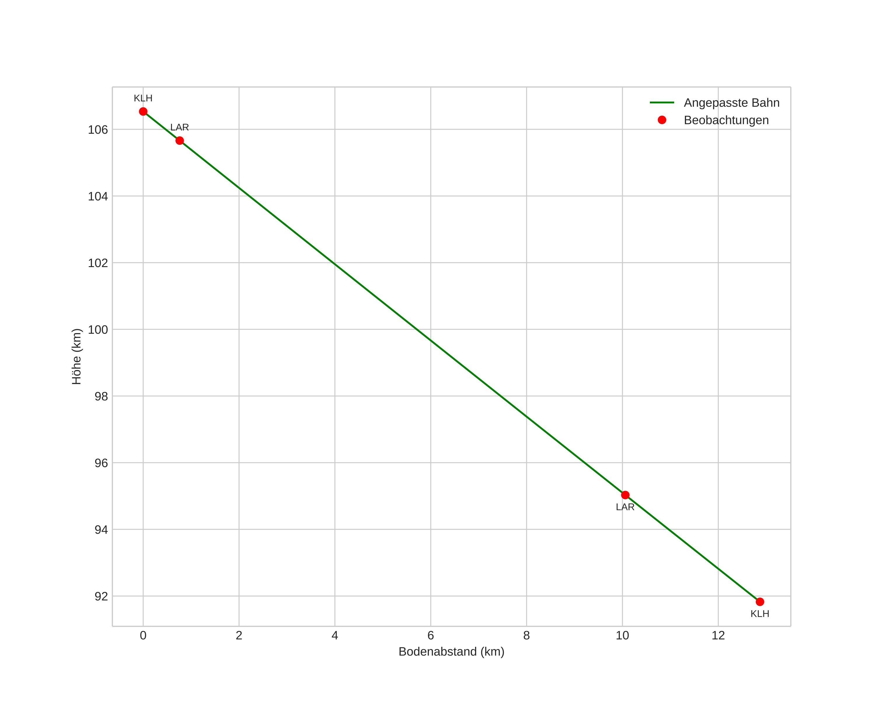
height profile
Atmosphärische Bahn des Meteors:
Anfangshöhe: 110,0 km
Endhöhe: 87,5 km
Startposition: 57,440N 10,870E
Endposition: 57,334N 10,618E
Richtung: 232,3°
Neigungswinkel: 49,6°
Eintrittsgeschwindigkeit: 64,4 km/s
Rektaszension des Radianten: 03:14 (48,7°)
Deklination des Radianten: 58,6°
Meteorstrom: Perseiden
Bahnelemente des Meteoroiden:
Periheldistanz: 0,965 AU
Exzentrizität: 1,315
Inklination: 115,2°
Länge des aufsteigenden Knotens: 141,1°
Argument des Perihels: 156,3°
Mittlere Anomalie: 2,8°
Epoche: 2021 AUG 13 23:35:32
orbit plot

Nicht-interaktives Diagramm | Interaktives Diagramm

position vs time
speed and acceleration