🇳🇴 🇬🇧 🇩🇪 🇨🇿 🇫🇮

Meteor Sæbyn yllä 2021-08-13 23:35:32 UTC

KML-tiedosto  |  Interaktiivinen kartta

Kartta näyttää meteorin suuntahavainnot. Vaaleammat viivat näyttävät suunnat havaintoasemilta meteorin ilmestyessä, ja tummemmat viivat näyttävät, missä se viimeksi nähtiin. Sininen nuoli näyttää meteorin näkyvän lennon.

static map
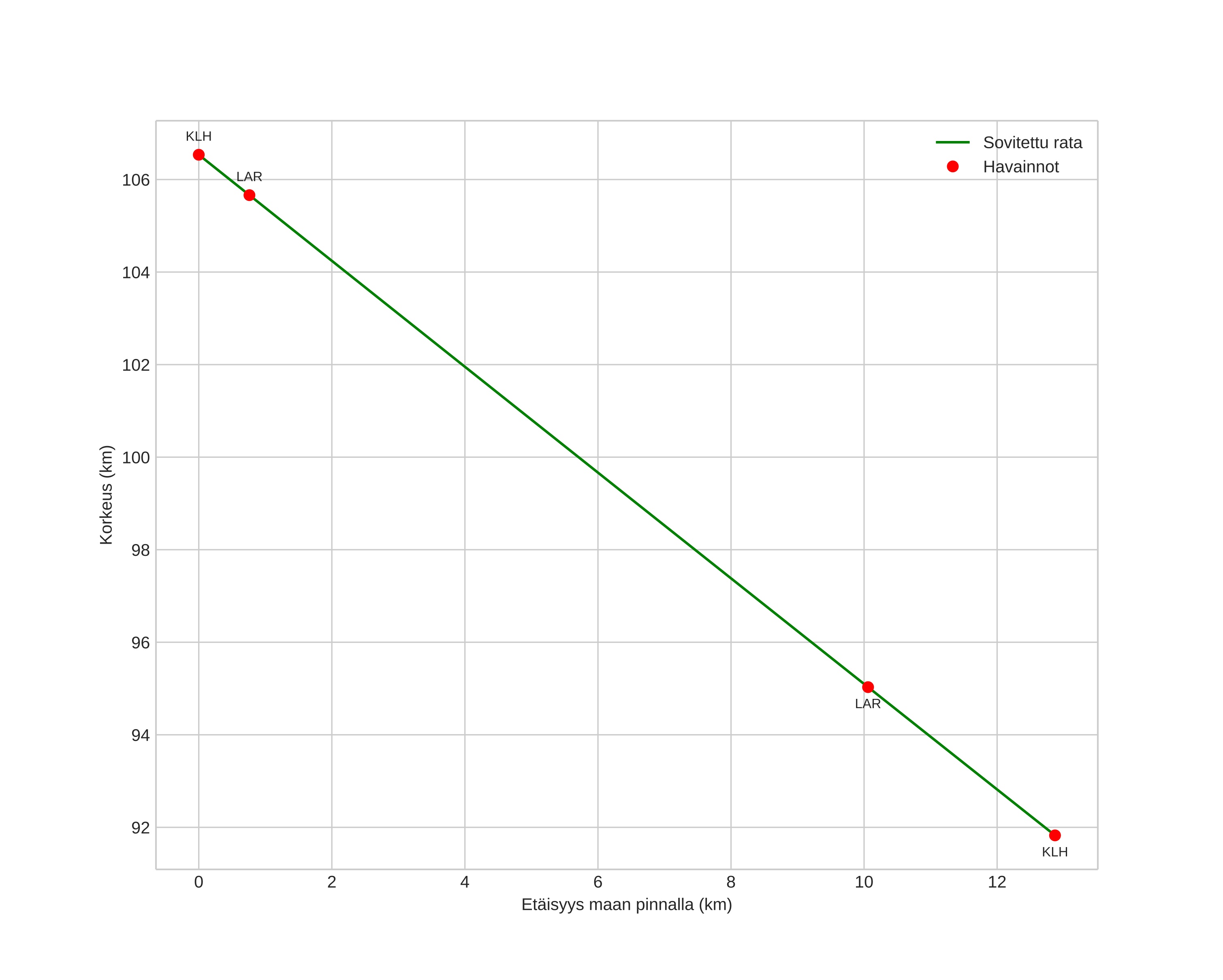
height profile
Meteorin ilmakehärata:
Alkukorkeus: 110,0 km
Loppukorkeus: 87,5 km
Alkupiste: 57,440N 10,870E
Loppupiste: 57,334N 10,618E
Suunta: 232,3°
Kallistuskulma: 49,6°
Tulonopeus: 64,4 km/s
Radiantin R,A,: 03:14 (48,7°)
Radiantin Dekl,: 58,6°
Meteoriparvi: Perseidit
Meteoroidin rataelementit:
Perihelietäisyys: 0,965 AU
Eksentrisyys: 1,315
Inklinaatio: 115,2°
Nousevan solmun pituus: 141,1°
Perihelin argumentti: 156,3°
Keskianomalia: 2,8°
Epookki: 2021 AUG 13 23:35:32
orbit plot

Ei-interaktiivinen kuvaaja | Interaktiivinen kuvaaja

position vs time
speed and acceleration