🇳🇴 🇬🇧 🇩🇪 🇨🇿 🇫🇮

Meteor, poloha: Grenaa 2021-08-14 00:25:38 UTC

Soubor KML  |  InteraktivnĂ­ mapa

Mapa zobrazuje dráhy meteoru. Světlejší čáry ukazují směry od pozorovacích stanic při objevení se meteoru a tmavší čáry, kde byl naposledy viděn. Modrá šipka značí viditelnou dráhu meteoru.

static map
height profile
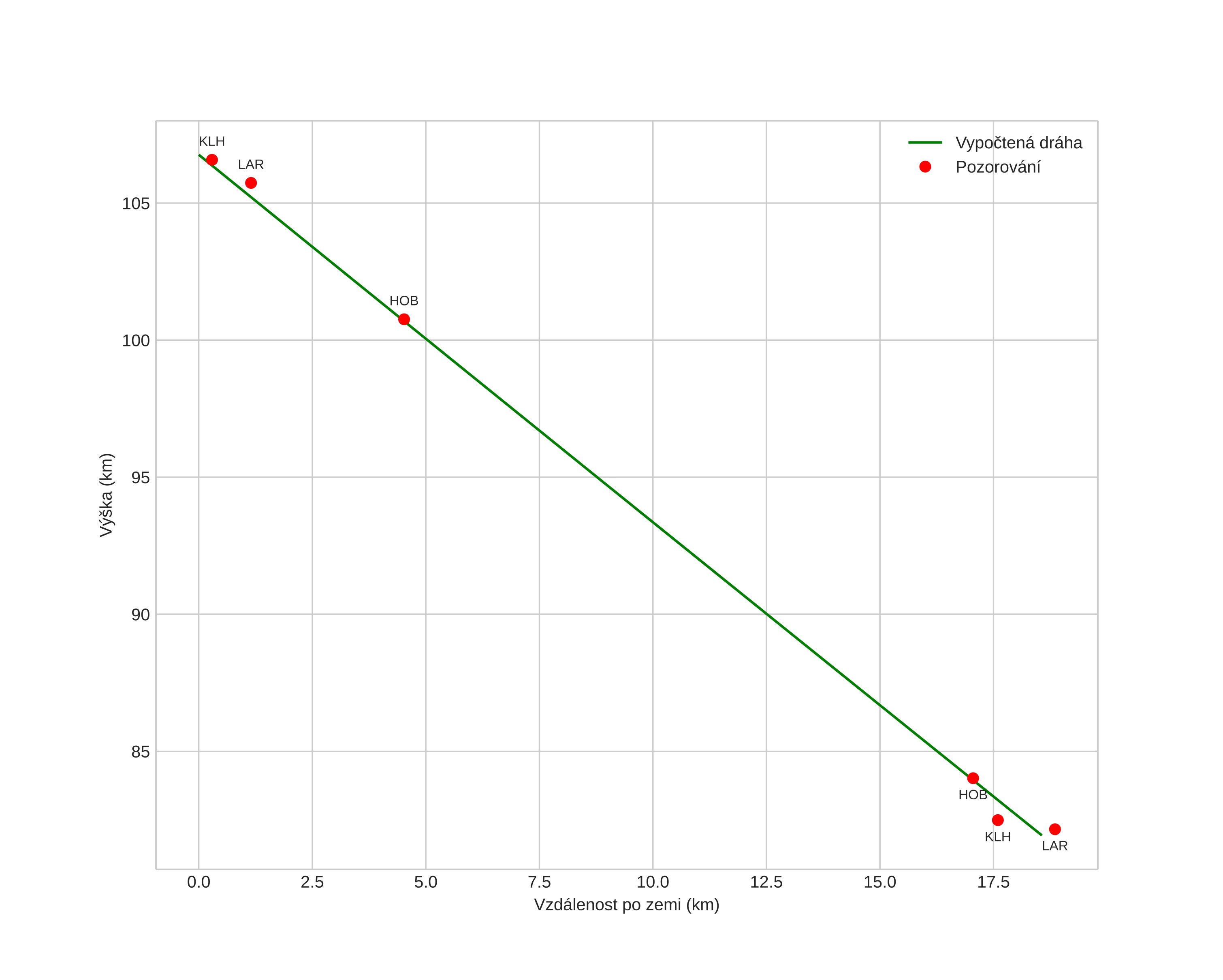
Atmosférická dráha meteoru:
Počáteční výška: 106,7 km
Konečná výška: 82,2 km
Počáteční poloha: 56,748N 11,298E
Konečná poloha: 56,647N 11,062E
Směr: 232,1°
Sklon: 53,3°
VstupnĂ­ rychlost: 62,0 km/s
Rektascenze radiantu: 03:37 (54,4°)
Deklinace radiantu: 60,6°
MeteorickĂ˝ roj: Perseidy
Elementy dráhy meteoroidu:
Vzdálenost v periheliu: 0,927 AU
Excentricita: 1,188
Sklon dráhy: 111,5°
Délka vzestupného uzlu: 141,2°
Argument perihelia: 147,5°
Střední anomálie: 1,9°
Epocha: 2021 AUG 14 00:25:38
orbit plot

NeinteraktivnĂ­ graf | InteraktivnĂ­ graf

position vs time
speed and acceleration