🇳🇴 🇬🇧 🇩🇪 🇨🇿 🇫🇮

Meteor Grenaan yllä 2021-08-14 00:25:38 UTC

KML-tiedosto  |  Interaktiivinen kartta

Kartta näyttää meteorin suuntahavainnot. Vaaleammat viivat näyttävät suunnat havaintoasemilta meteorin ilmestyessä, ja tummemmat viivat näyttävät, missä se viimeksi nähtiin. Sininen nuoli näyttää meteorin näkyvän lennon.

static map
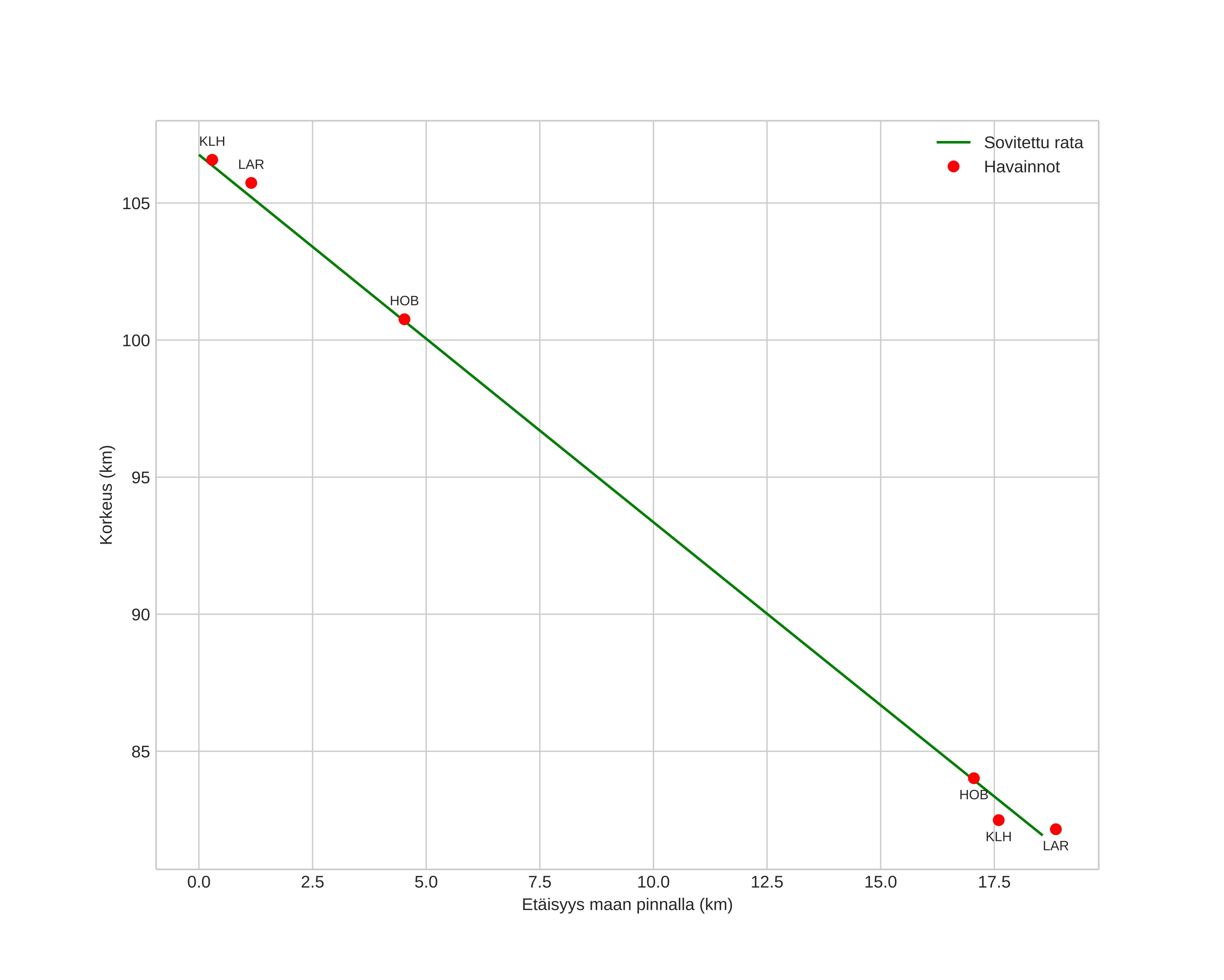
height profile
Meteorin ilmakehärata:
Alkukorkeus: 106,7 km
Loppukorkeus: 82,2 km
Alkupiste: 56,748N 11,298E
Loppupiste: 56,647N 11,062E
Suunta: 232,1°
Kallistuskulma: 53,3°
Tulonopeus: 62,0 km/s
Radiantin R,A,: 03:37 (54,4°)
Radiantin Dekl,: 60,6°
Meteoriparvi: Perseidit
Meteoroidin rataelementit:
Perihelietäisyys: 0,927 AU
Eksentrisyys: 1,188
Inklinaatio: 111,5°
Nousevan solmun pituus: 141,2°
Perihelin argumentti: 147,5°
Keskianomalia: 1,9°
Epookki: 2021 AUG 14 00:25:38
orbit plot

Ei-interaktiivinen kuvaaja | Interaktiivinen kuvaaja

position vs time
speed and acceleration