🇳🇴 🇬🇧 🇩🇪 🇨🇿 🇫🇮

Meteor, poloha: Kragerø 2021-08-14 00:27:10 UTC

Soubor KML  |  InteraktivnĂ­ mapa

Mapa zobrazuje dráhy meteoru. Světlejší čáry ukazují směry od pozorovacích stanic při objevení se meteoru a tmavší čáry, kde byl naposledy viděn. Modrá šipka značí viditelnou dráhu meteoru.

static map
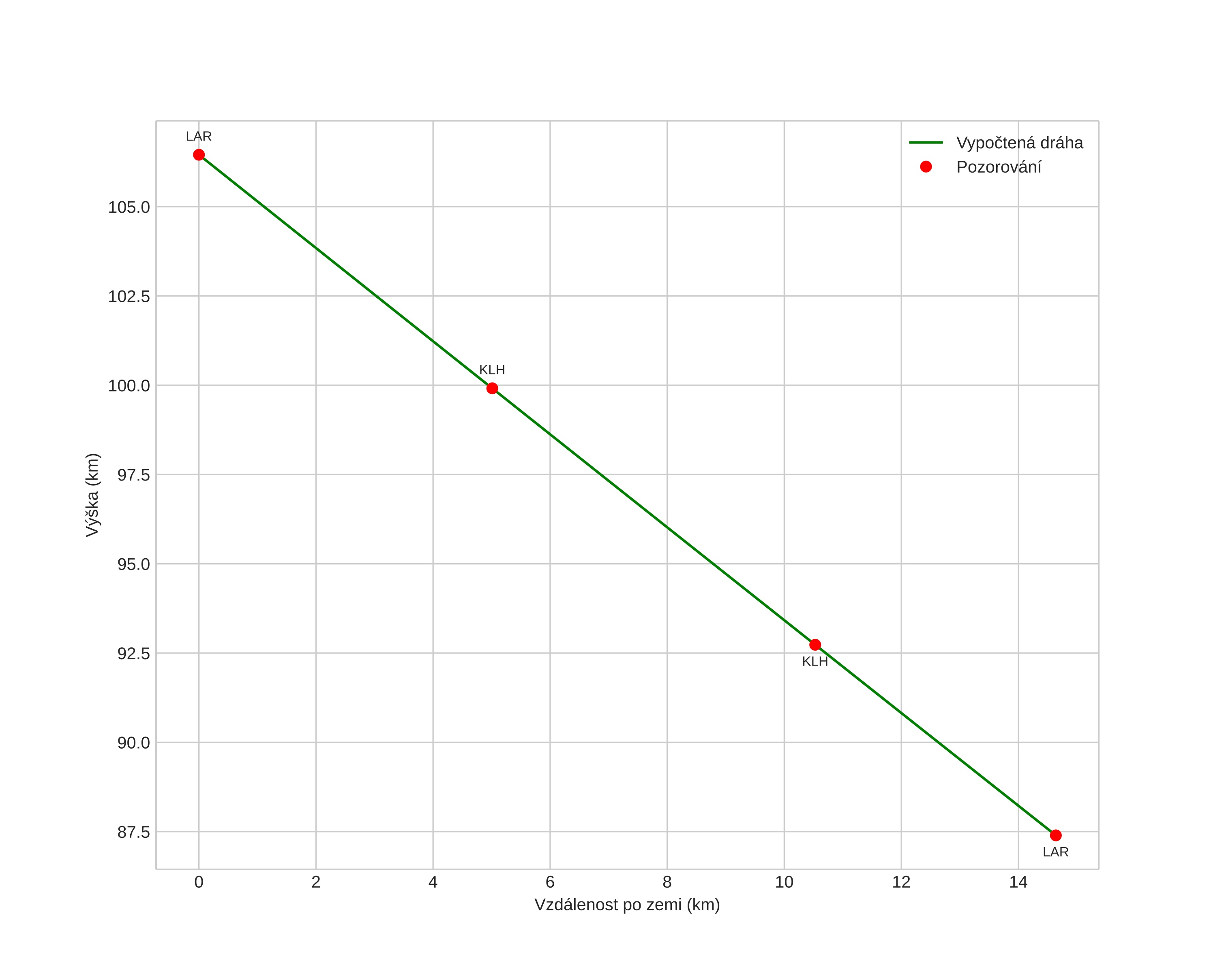
height profile
Atmosférická dráha meteoru:
Počáteční výška: 105,6 km
Konečná výška: 87,4 km
Počáteční poloha: 58,896N 9,525E
Konečná poloha: 58,831N 9,317E
Směr: 239,1°
Sklon: 52,6°
VstupnĂ­ rychlost: 64,1 km/s
Rektascenze radiantu: 03:33 (53,3°)
Deklinace radiantu: 57,1°
MeteorickĂ˝ roj: Perseidy
Elementy dráhy meteoroidu:
Vzdálenost v periheliu: 0,937 AU
Excentricita: 1,216
Sklon dráhy: 117,3°
Délka vzestupného uzlu: 141,2°
Argument perihelia: 149,6°
Střední anomálie: 2,2°
Epocha: 2021 AUG 14 00:27:10
orbit plot

NeinteraktivnĂ­ graf | InteraktivnĂ­ graf

position vs time
speed and acceleration