🇳🇴 🇬🇧 🇩🇪 🇨🇿 🇫🇮

Meteor Kragerøin yllä 2021-08-14 00:27:10 UTC

KML-tiedosto  |  Interaktiivinen kartta

Kartta näyttää meteorin suuntahavainnot. Vaaleammat viivat näyttävät suunnat havaintoasemilta meteorin ilmestyessä, ja tummemmat viivat näyttävät, missä se viimeksi nähtiin. Sininen nuoli näyttää meteorin näkyvän lennon.

static map
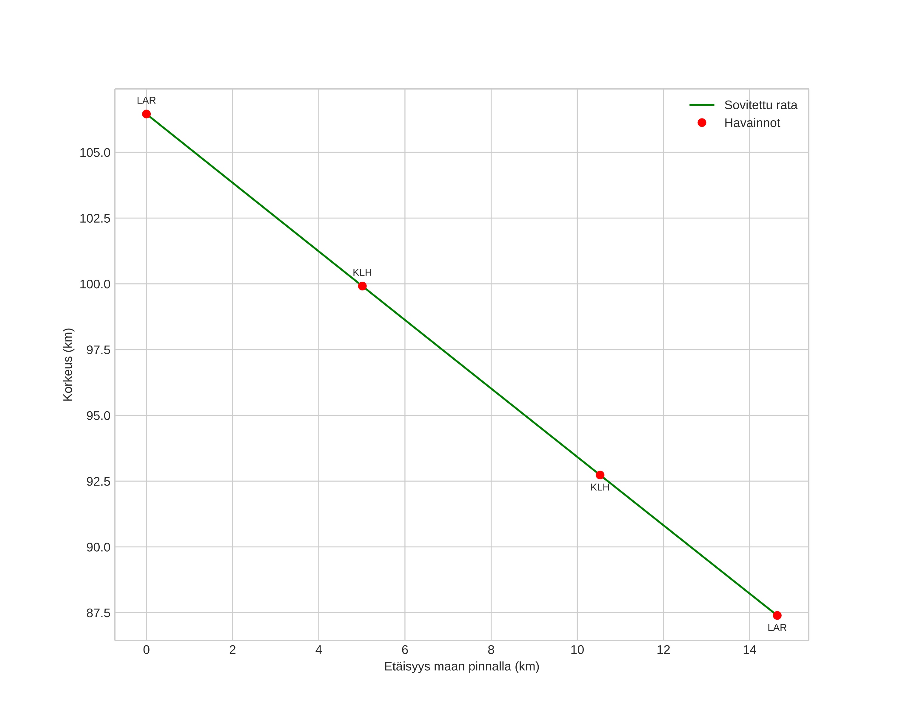
height profile
Meteorin ilmakehärata:
Alkukorkeus: 105,6 km
Loppukorkeus: 87,4 km
Alkupiste: 58,896N 9,525E
Loppupiste: 58,831N 9,317E
Suunta: 239,1°
Kallistuskulma: 52,6°
Tulonopeus: 64,1 km/s
Radiantin R,A,: 03:33 (53,3°)
Radiantin Dekl,: 57,1°
Meteoriparvi: Perseidit
Meteoroidin rataelementit:
Perihelietäisyys: 0,937 AU
Eksentrisyys: 1,216
Inklinaatio: 117,3°
Nousevan solmun pituus: 141,2°
Perihelin argumentti: 149,6°
Keskianomalia: 2,2°
Epookki: 2021 AUG 14 00:27:10
orbit plot

Ei-interaktiivinen kuvaaja | Interaktiivinen kuvaaja

position vs time
speed and acceleration