🇳🇴 🇬🇧 🇩🇪 🇨🇿 🇫🇮

Meteor, poloha: Søgne 2021-08-14 01:22:55 UTC

Soubor KML  |  InteraktivnĂ­ mapa

Mapa zobrazuje dráhy meteoru. Světlejší čáry ukazují směry od pozorovacích stanic při objevení se meteoru a tmavší čáry, kde byl naposledy viděn. Modrá šipka značí viditelnou dráhu meteoru.

static map
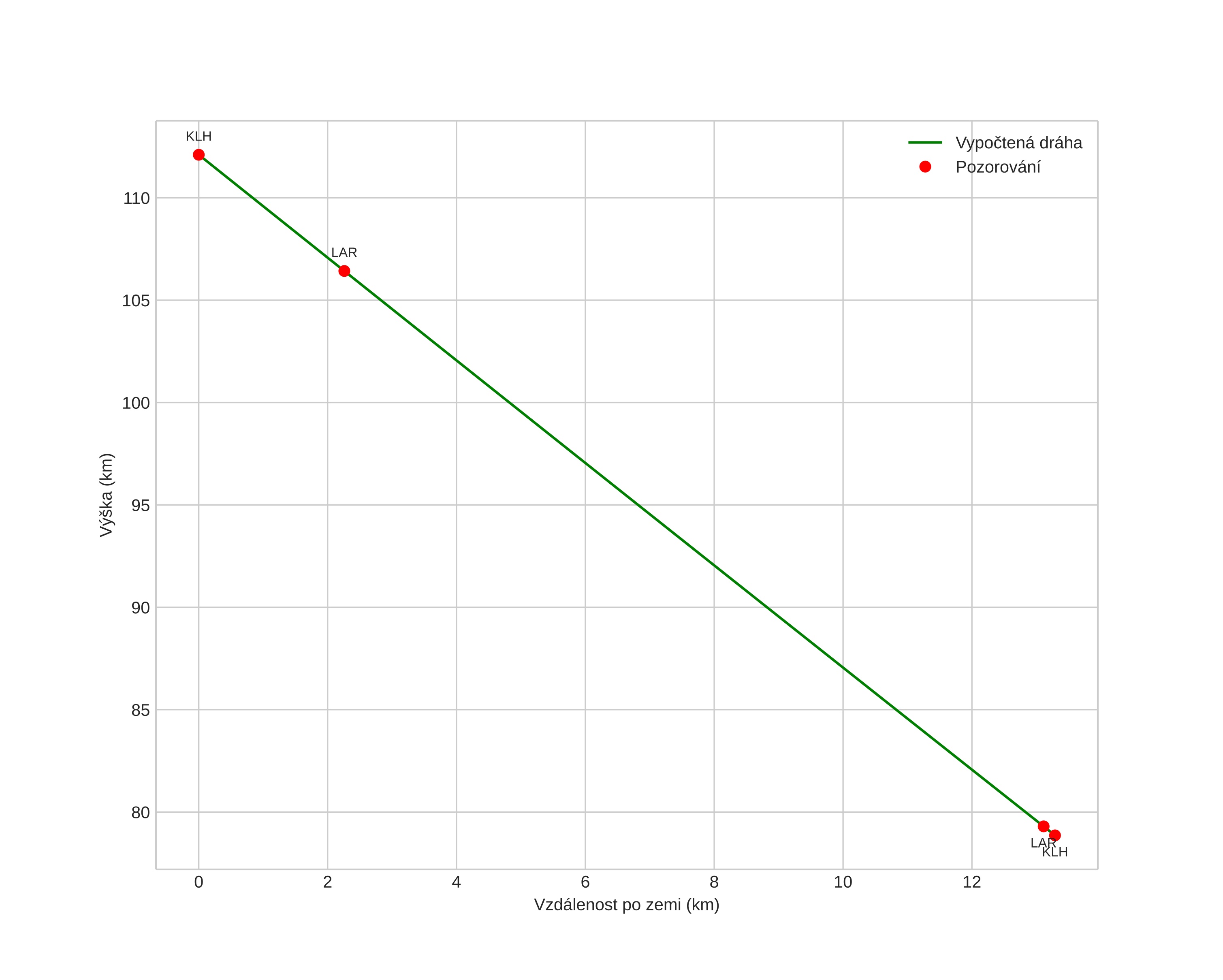
height profile
Atmosférická dráha meteoru:
Počáteční výška: 112,2 km
Konečná výška: 78,9 km
Počáteční poloha: 58,073N 7,894E
Konečná poloha: 58,031N 7,683E
Směr: 249,5°
Sklon: 68,3°
VstupnĂ­ rychlost: 66,2 km/s
Rektascenze radiantu: 02:12 (33,0°)
Deklinace radiantu: 58,8°
MeteorickĂ˝ roj: Perseidy
Elementy dráhy meteoroidu:
Vzdálenost v periheliu: 1,011 AU
Excentricita: 1,606
Sklon dráhy: 113,2°
Délka vzestupného uzlu: 141,2°
Argument perihelia: 175,9°
Střední anomálie: 1,2°
Epocha: 2021 AUG 14 01:22:55
orbit plot

NeinteraktivnĂ­ graf | InteraktivnĂ­ graf

position vs time
speed and acceleration