🇳🇴 🇬🇧 🇩🇪 🇨🇿 🇫🇮

Meteor Søgnen yllä 2021-08-14 01:22:55 UTC

KML-tiedosto  |  Interaktiivinen kartta

Kartta näyttää meteorin suuntahavainnot. Vaaleammat viivat näyttävät suunnat havaintoasemilta meteorin ilmestyessä, ja tummemmat viivat näyttävät, missä se viimeksi nähtiin. Sininen nuoli näyttää meteorin näkyvän lennon.

static map
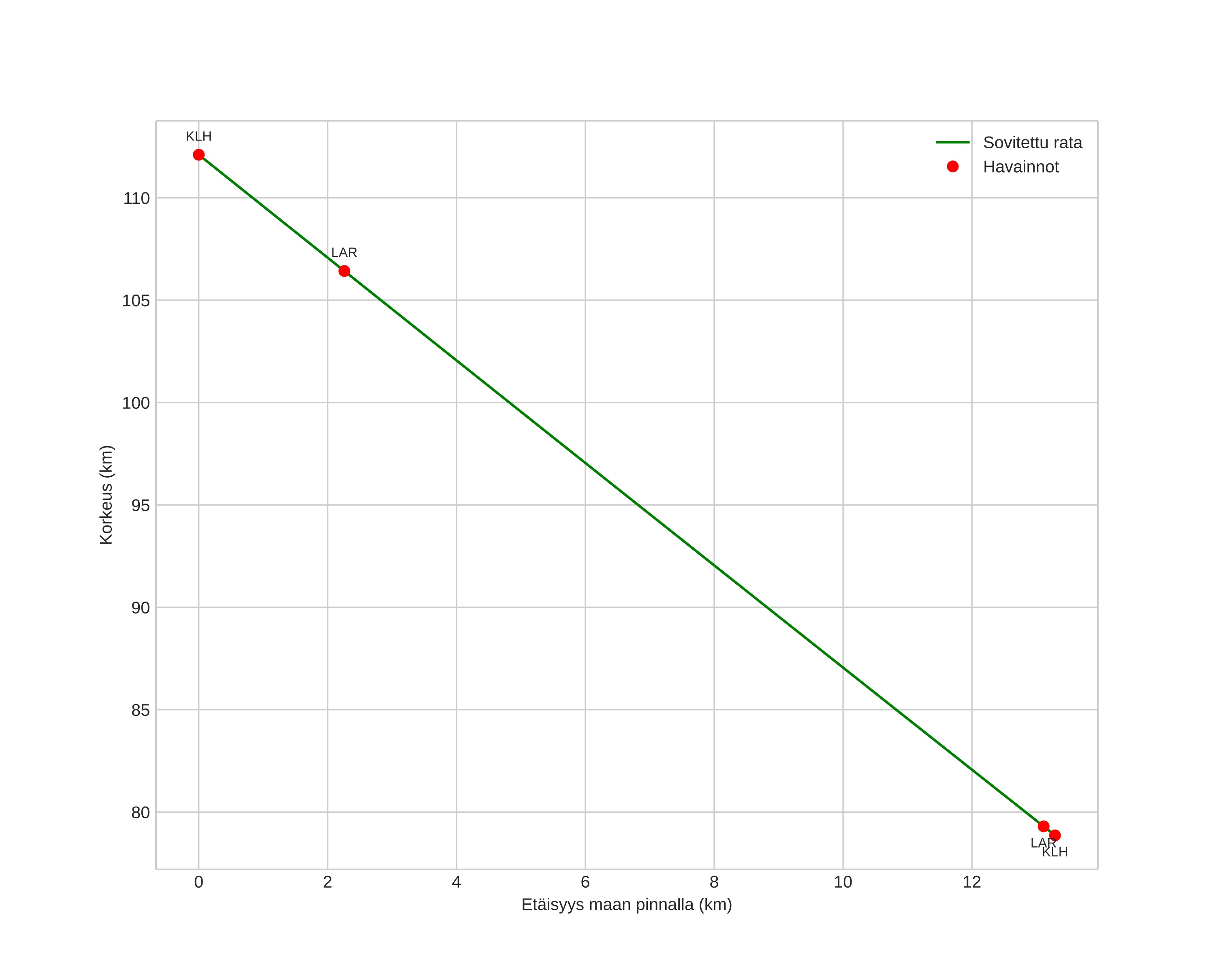
height profile
Meteorin ilmakehärata:
Alkukorkeus: 112,2 km
Loppukorkeus: 78,9 km
Alkupiste: 58,073N 7,894E
Loppupiste: 58,031N 7,683E
Suunta: 249,5°
Kallistuskulma: 68,3°
Tulonopeus: 66,2 km/s
Radiantin R,A,: 02:12 (33,0°)
Radiantin Dekl,: 58,8°
Meteoriparvi: Perseidit
Meteoroidin rataelementit:
Perihelietäisyys: 1,011 AU
Eksentrisyys: 1,606
Inklinaatio: 113,2°
Nousevan solmun pituus: 141,2°
Perihelin argumentti: 175,9°
Keskianomalia: 1,2°
Epookki: 2021 AUG 14 01:22:55
orbit plot

Ei-interaktiivinen kuvaaja | Interaktiivinen kuvaaja

position vs time
speed and acceleration