🇳🇴 🇬🇧 🇩🇪 🇨🇿 🇫🇮

Meteor, poloha: Birkeland 2021-08-16 01:17:12 UTC

Soubor KML  |  InteraktivnĂ­ mapa

Mapa zobrazuje dráhy meteoru. Světlejší čáry ukazují směry od pozorovacích stanic při objevení se meteoru a tmavší čáry, kde byl naposledy viděn. Modrá šipka značí viditelnou dráhu meteoru.

static map
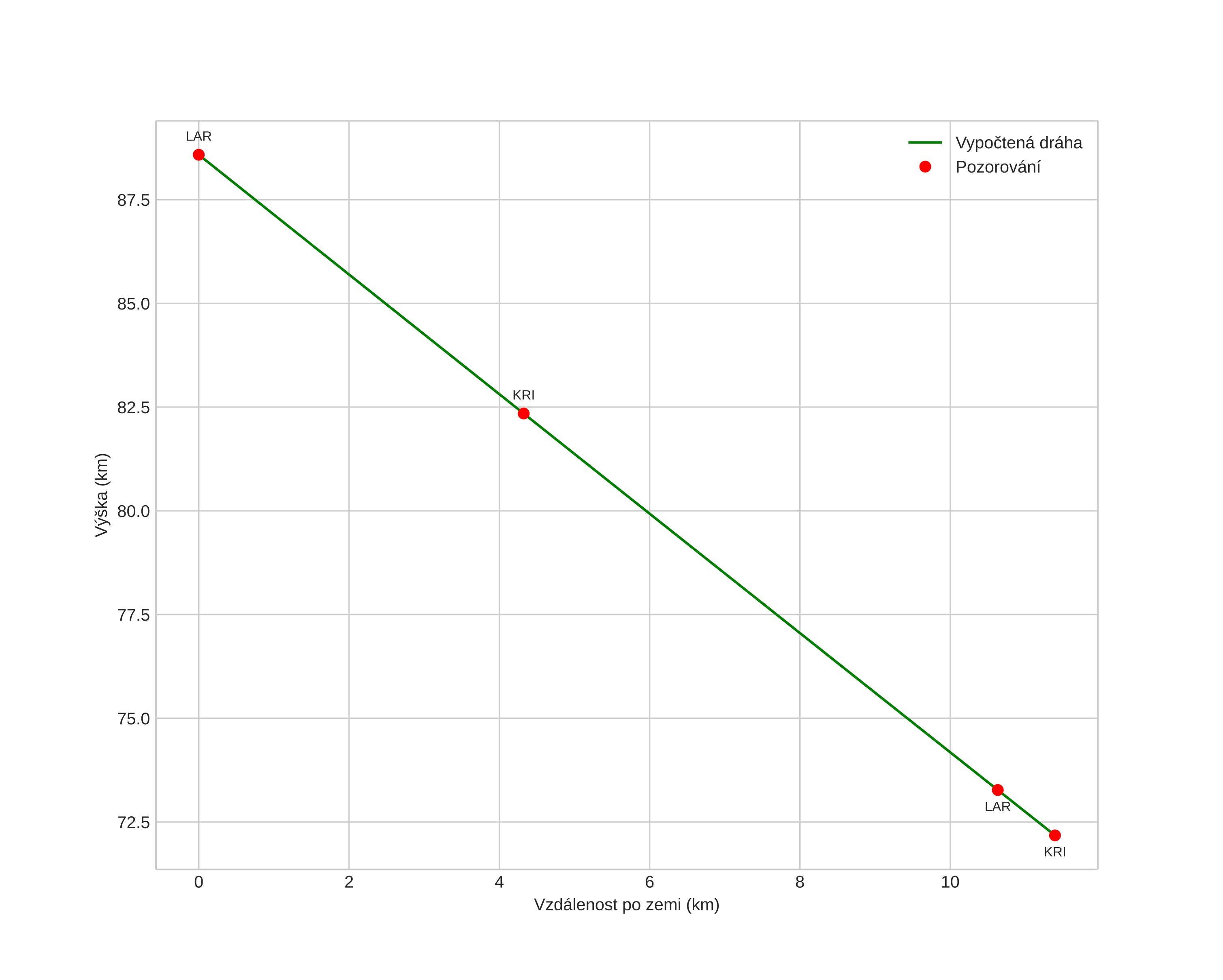
height profile
Atmosférická dráha meteoru:
Počáteční výška: 88,2 km
Konečná výška: 71,8 km
Počáteční poloha: 58,442N 8,141E
Konečná poloha: 58,364N 8,267E
Směr: 139,9°
Sklon: 55,3°
VstupnĂ­ rychlost: 28,1 km/s
Rektascenze radiantu: 17:51 (267,8°)
Deklinace radiantu: 67,0°
MeteorickĂ˝ roj: sporadickĂ˝
Elementy dráhy meteoroidu:
Vzdálenost v periheliu: 1,013 AU
Excentricita: 0,756
Sklon dráhy: 41,3°
Délka vzestupného uzlu: 143,1°
Argument perihelia: 179,7°
Střední anomálie: 0,0°
Epocha: 2021 AUG 16 01:17:12
orbit plot

NeinteraktivnĂ­ graf | InteraktivnĂ­ graf

position vs time
speed and acceleration