🇳🇴 🇬🇧 🇩🇪 🇨🇿 🇫🇮

Meteor Birkelandin yllä 2021-08-16 01:17:12 UTC

KML-tiedosto  |  Interaktiivinen kartta

Kartta näyttää meteorin suuntahavainnot. Vaaleammat viivat näyttävät suunnat havaintoasemilta meteorin ilmestyessä, ja tummemmat viivat näyttävät, missä se viimeksi nähtiin. Sininen nuoli näyttää meteorin näkyvän lennon.

static map
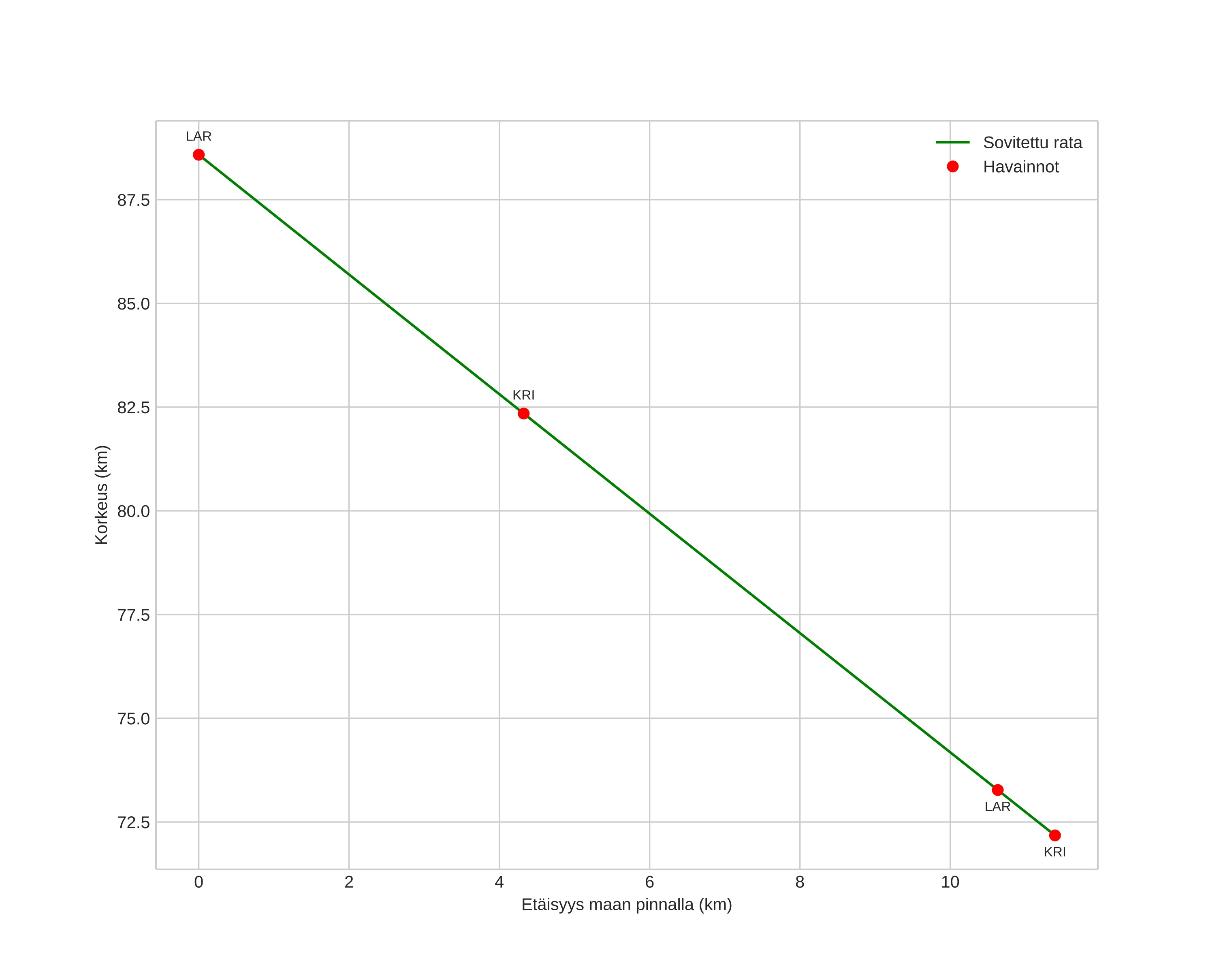
height profile
Meteorin ilmakehärata:
Alkukorkeus: 88,2 km
Loppukorkeus: 71,8 km
Alkupiste: 58,442N 8,141E
Loppupiste: 58,364N 8,267E
Suunta: 139,9°
Kallistuskulma: 55,3°
Tulonopeus: 28,1 km/s
Radiantin R,A,: 17:51 (267,8°)
Radiantin Dekl,: 67,0°
Meteoriparvi: Sporadinen
Meteoroidin rataelementit:
Perihelietäisyys: 1,013 AU
Eksentrisyys: 0,756
Inklinaatio: 41,3°
Nousevan solmun pituus: 143,1°
Perihelin argumentti: 179,7°
Keskianomalia: 0,0°
Epookki: 2021 AUG 16 01:17:12
orbit plot

Ei-interaktiivinen kuvaaja | Interaktiivinen kuvaaja

position vs time
speed and acceleration