🇳🇴 🇬🇧 🇩🇪 🇨🇿 🇫🇮

Meteor, poloha: Vestbygd 2021-08-17 23:00:12 UTC

Soubor KML  |  InteraktivnĂ­ mapa

Mapa zobrazuje dráhy meteoru. Světlejší čáry ukazují směry od pozorovacích stanic při objevení se meteoru a tmavší čáry, kde byl naposledy viděn. Modrá šipka značí viditelnou dráhu meteoru.

static map
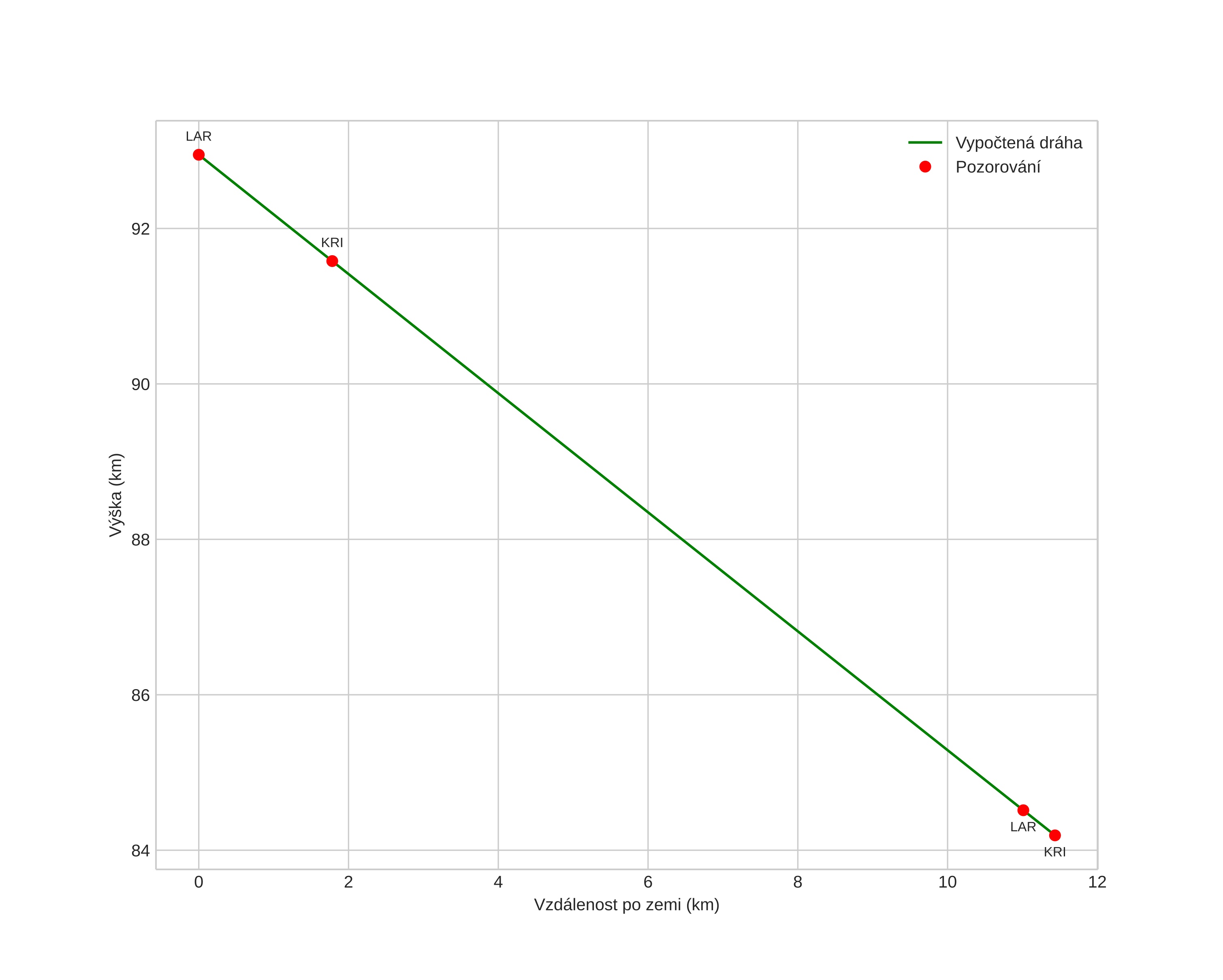
height profile
Atmosférická dráha meteoru:
Počáteční výška: 92,3 km
Konečná výška: 83,3 km
Počáteční poloha: 57,114N 6,151E
Konečná poloha: 57,138N 6,335E
Směr: 76,8°
Sklon: 38,2°
VstupnĂ­ rychlost: 21,7 km/s
Rektascenze radiantu: 17:07 (257,0°)
Deklinace radiantu: 21,2°
MeteorickĂ˝ roj: sporadickĂ˝
Elementy dráhy meteoroidu:
Vzdálenost v periheliu: 1,003 AU
Excentricita: 1,262
Sklon dráhy: 17,2°
Délka vzestupného uzlu: 145,0°
Argument perihelia: 190,5°
Střední anomálie: -0,9°
Epocha: 2021 AUG 17 23:00:12
orbit plot

NeinteraktivnĂ­ graf | InteraktivnĂ­ graf

position vs time
speed and acceleration