🇳🇴 🇬🇧 🇩🇪 🇨🇿 🇫🇮

Meteor Vestbygdin yllä 2021-08-17 23:00:12 UTC

KML-tiedosto  |  Interaktiivinen kartta

Kartta näyttää meteorin suuntahavainnot. Vaaleammat viivat näyttävät suunnat havaintoasemilta meteorin ilmestyessä, ja tummemmat viivat näyttävät, missä se viimeksi nähtiin. Sininen nuoli näyttää meteorin näkyvän lennon.

static map
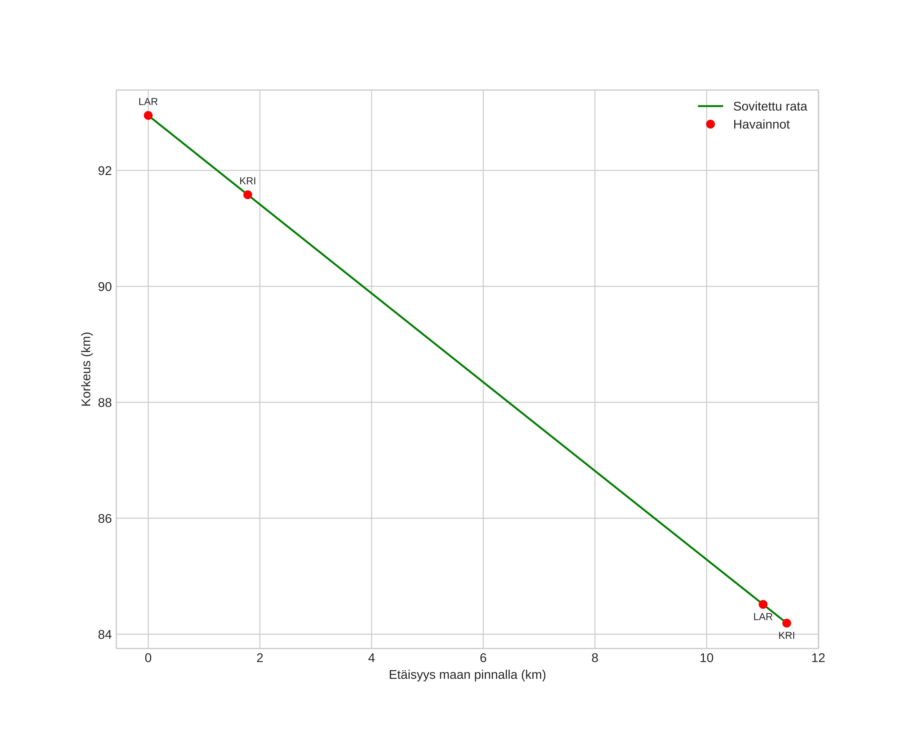
height profile
Meteorin ilmakehärata:
Alkukorkeus: 92,3 km
Loppukorkeus: 83,3 km
Alkupiste: 57,114N 6,151E
Loppupiste: 57,138N 6,335E
Suunta: 76,8°
Kallistuskulma: 38,2°
Tulonopeus: 21,7 km/s
Radiantin R,A,: 17:07 (257,0°)
Radiantin Dekl,: 21,2°
Meteoriparvi: Sporadinen
Meteoroidin rataelementit:
Perihelietäisyys: 1,003 AU
Eksentrisyys: 1,262
Inklinaatio: 17,2°
Nousevan solmun pituus: 145,0°
Perihelin argumentti: 190,5°
Keskianomalia: -0,9°
Epookki: 2021 AUG 17 23:00:12
orbit plot

Ei-interaktiivinen kuvaaja | Interaktiivinen kuvaaja

position vs time
speed and acceleration