🇳🇴 🇬🇧 🇩🇪 🇨🇿 🇫🇮

Meteor, poloha: Rollag 2021-08-17 23:06:24 UTC

Soubor KML  |  InteraktivnĂ­ mapa

Mapa zobrazuje dráhy meteoru. Světlejší čáry ukazují směry od pozorovacích stanic při objevení se meteoru a tmavší čáry, kde byl naposledy viděn. Modrá šipka značí viditelnou dráhu meteoru.

static map
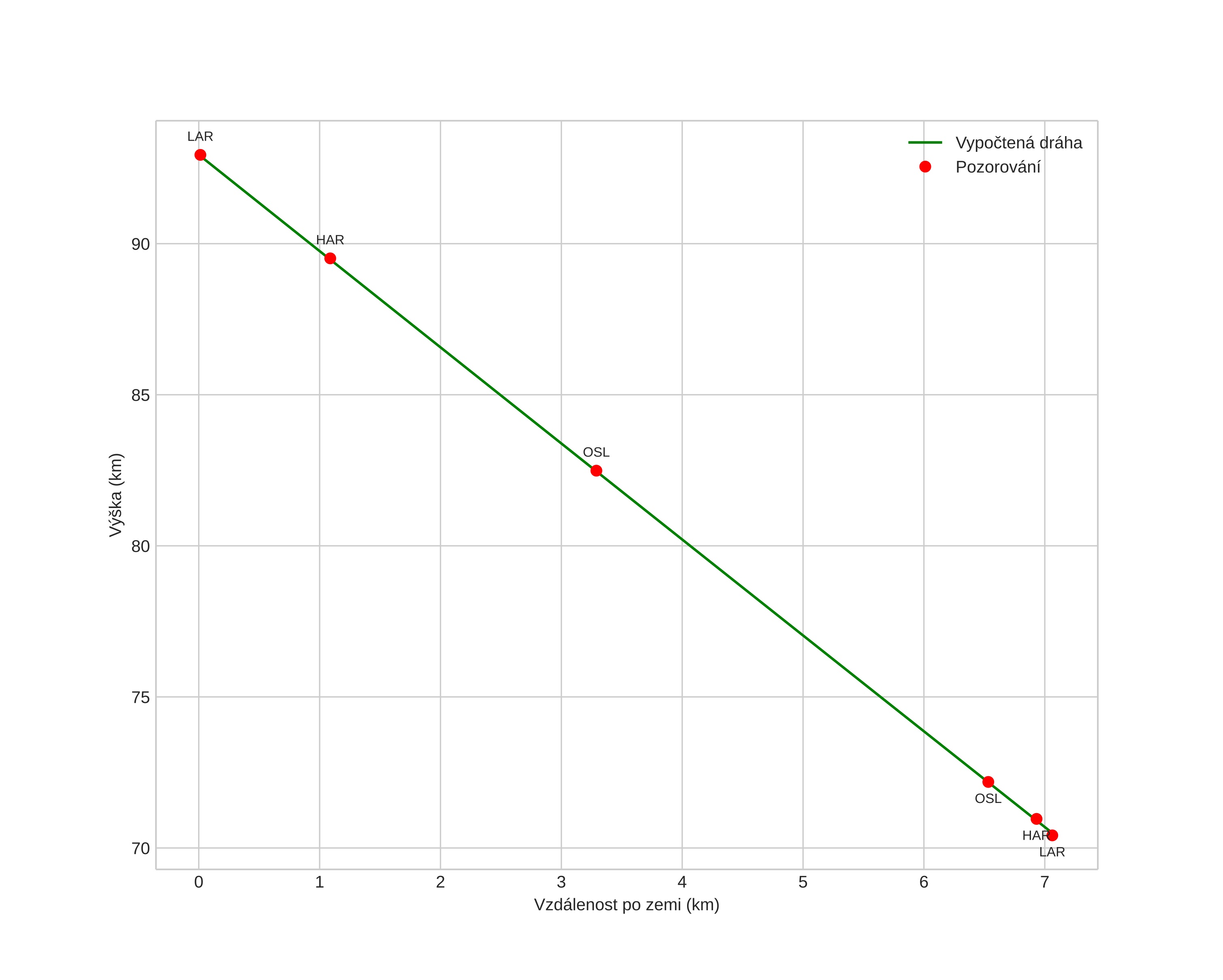
height profile
Atmosférická dráha meteoru:
Počáteční výška: 93,2 km
Konečná výška: 70,5 km
Počáteční poloha: 60,014N 9,040E
Konečná poloha: 60,015N 9,168E
Směr: 89,8°
Sklon: 72,6°
VstupnĂ­ rychlost: 26,9 km/s
Rektascenze radiantu: 19:12 (288,0°)
Deklinace radiantu: 54,9°
MeteorickĂ˝ roj: Kappa Cygnidy
Elementy dráhy meteoroidu:
Vzdálenost v periheliu: 0,981 AU
Excentricita: 0,757
Sklon dráhy: 37,9°
Délka vzestupného uzlu: 145,0°
Argument perihelia: 201,9°
Střední anomálie: 358,0°
Epocha: 2021 AUG 17 23:06:24
orbit plot

NeinteraktivnĂ­ graf | InteraktivnĂ­ graf

position vs time
speed and acceleration