🇳🇴 🇬🇧 🇩🇪 🇨🇿 🇫🇮

Meteor Rollagin yllä 2021-08-17 23:06:24 UTC

KML-tiedosto  |  Interaktiivinen kartta

Kartta näyttää meteorin suuntahavainnot. Vaaleammat viivat näyttävät suunnat havaintoasemilta meteorin ilmestyessä, ja tummemmat viivat näyttävät, missä se viimeksi nähtiin. Sininen nuoli näyttää meteorin näkyvän lennon.

static map
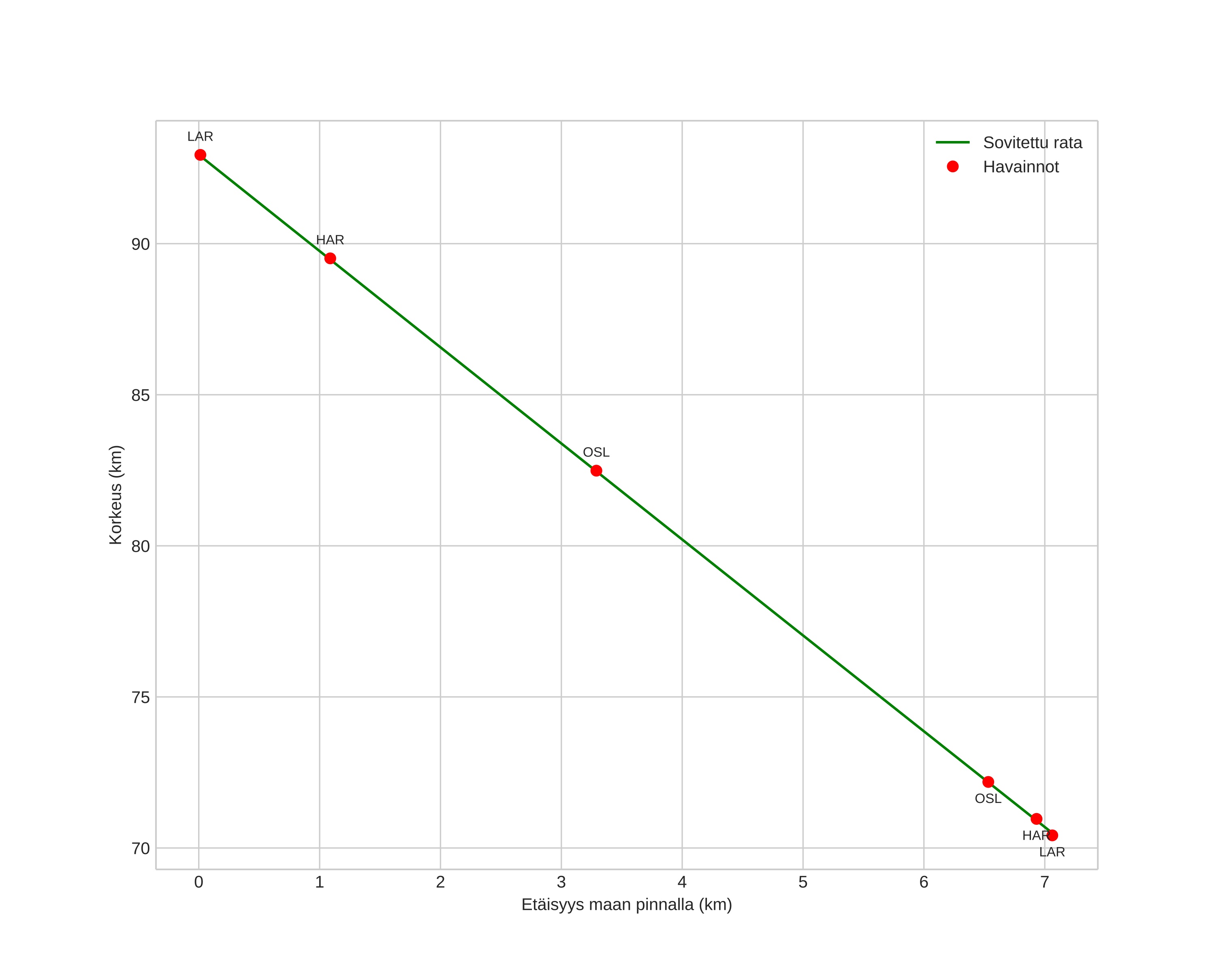
height profile
Meteorin ilmakehärata:
Alkukorkeus: 93,2 km
Loppukorkeus: 70,5 km
Alkupiste: 60,014N 9,040E
Loppupiste: 60,015N 9,168E
Suunta: 89,8°
Kallistuskulma: 72,6°
Tulonopeus: 26,9 km/s
Radiantin R,A,: 19:12 (288,0°)
Radiantin Dekl,: 54,9°
Meteoriparvi: Kappa-sygnidit
Meteoroidin rataelementit:
Perihelietäisyys: 0,981 AU
Eksentrisyys: 0,757
Inklinaatio: 37,9°
Nousevan solmun pituus: 145,0°
Perihelin argumentti: 201,9°
Keskianomalia: 358,0°
Epookki: 2021 AUG 17 23:06:24
orbit plot

Ei-interaktiivinen kuvaaja | Interaktiivinen kuvaaja

position vs time
speed and acceleration