🇳🇴 🇬🇧 🇩🇪 🇨🇿 🇫🇮

Meteor, poloha: Byrum 2021-08-18 21:42:08 UTC

Soubor KML  |  InteraktivnĂ­ mapa

Mapa zobrazuje dráhy meteoru. Světlejší čáry ukazují směry od pozorovacích stanic při objevení se meteoru a tmavší čáry, kde byl naposledy viděn. Modrá šipka značí viditelnou dráhu meteoru.

static map
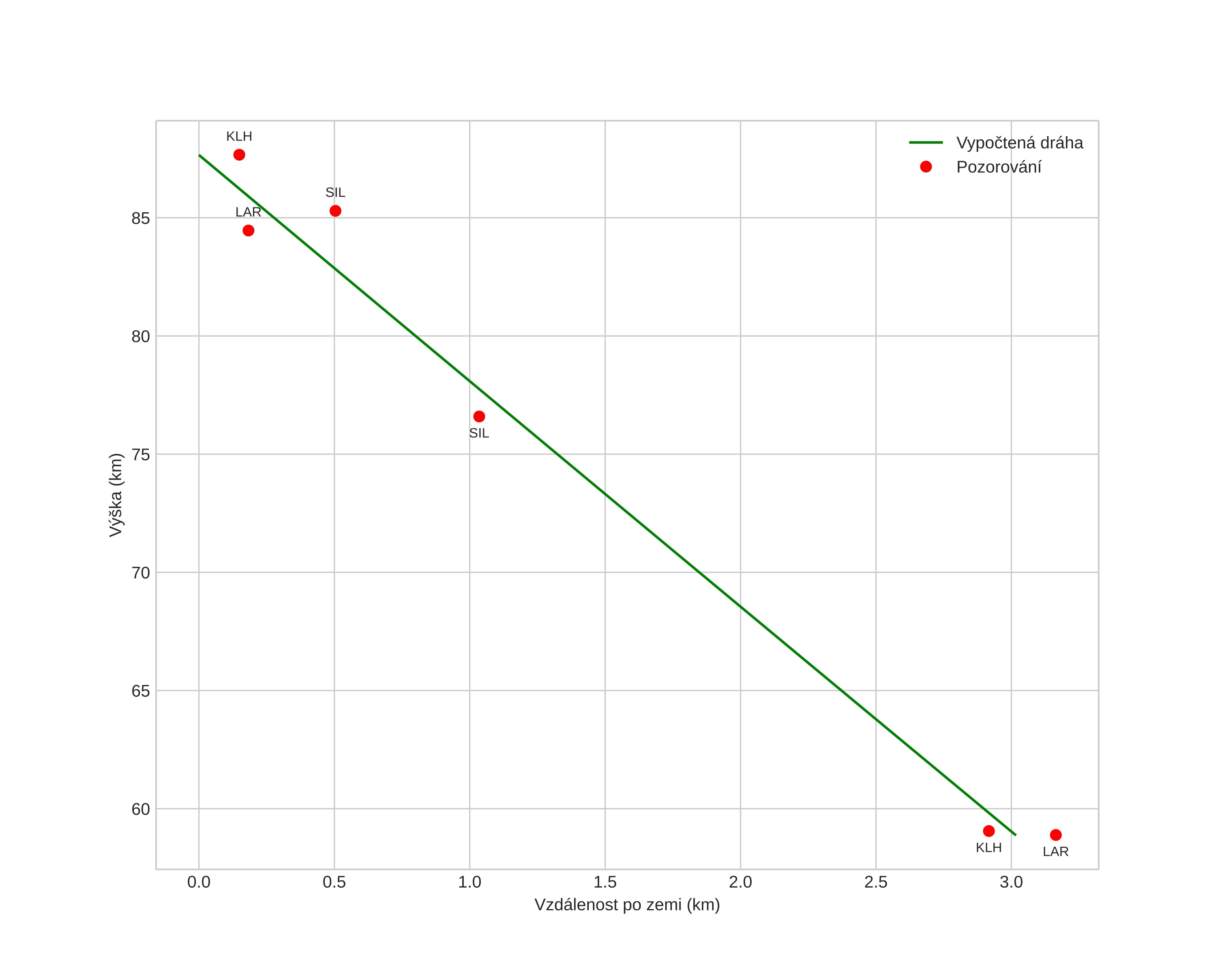
height profile
Atmosférická dráha meteoru:
Počáteční výška: 87,7 km
Konečná výška: 58,9 km
Počáteční poloha: 56,795N 11,477E
Konečná poloha: 56,796N 11,424E
Směr: 271,7°
Sklon: 83,6°
VstupnĂ­ rychlost: 30,4 km/s
Rektascenze radiantu: 21:01 (315,3°)
Deklinace radiantu: 55,8°
MeteorickĂ˝ roj: sporadickĂ˝
Elementy dráhy meteoroidu:
Vzdálenost v periheliu: 0,904 AU
Excentricita: 0,583
Sklon dráhy: 47,3°
Délka vzestupného uzlu: 145,9°
Argument perihelia: 224,7°
Střední anomálie: 349,7°
Epocha: 2021 AUG 18 21:42:08
orbit plot

NeinteraktivnĂ­ graf | InteraktivnĂ­ graf

position vs time
speed and acceleration