🇳🇴 🇬🇧 🇩🇪 🇨🇿 🇫🇮

Meteor Byrumin yllä 2021-08-18 21:42:08 UTC

KML-tiedosto  |  Interaktiivinen kartta

Kartta näyttää meteorin suuntahavainnot. Vaaleammat viivat näyttävät suunnat havaintoasemilta meteorin ilmestyessä, ja tummemmat viivat näyttävät, missä se viimeksi nähtiin. Sininen nuoli näyttää meteorin näkyvän lennon.

static map
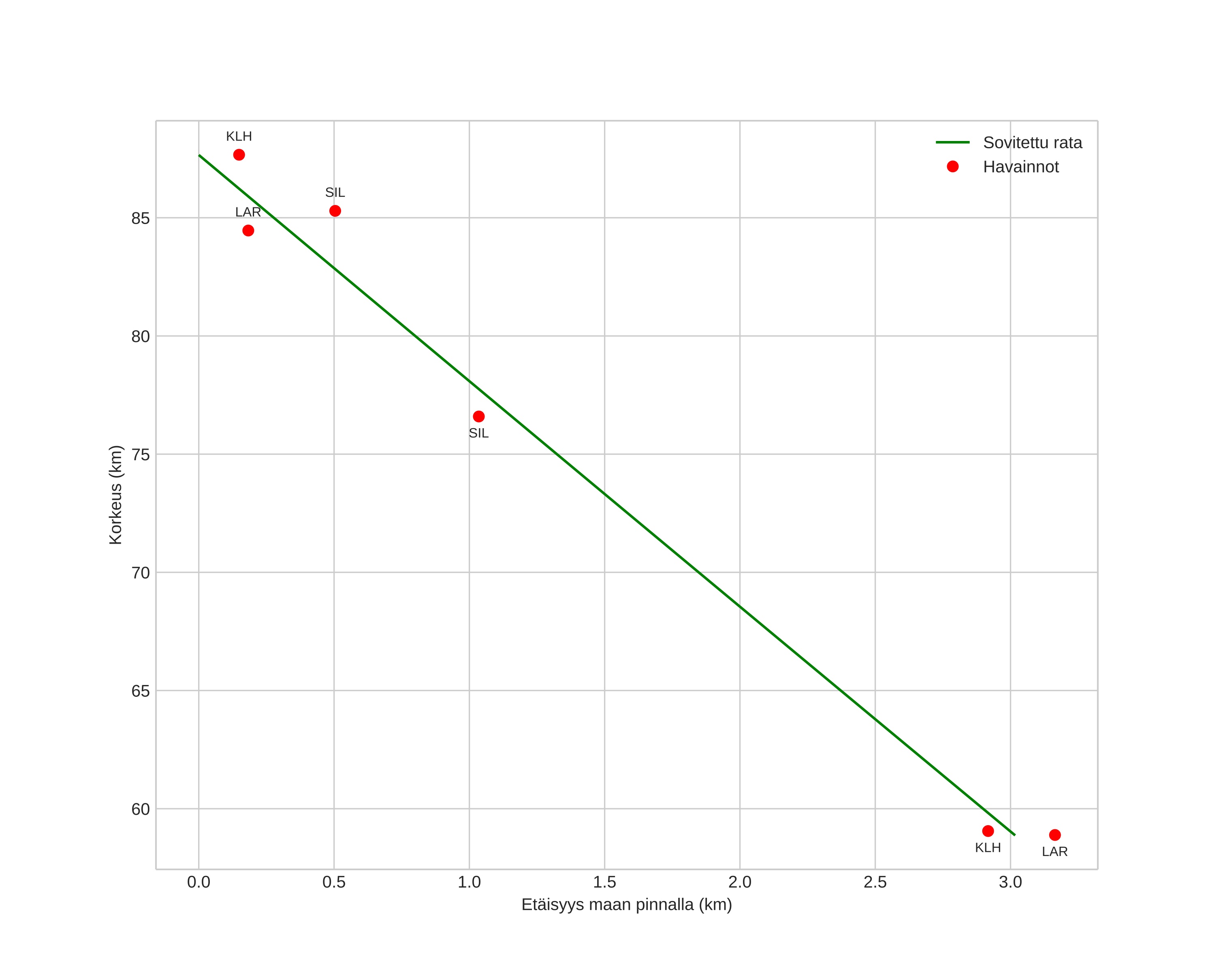
height profile
Meteorin ilmakehärata:
Alkukorkeus: 87,7 km
Loppukorkeus: 58,9 km
Alkupiste: 56,795N 11,477E
Loppupiste: 56,796N 11,424E
Suunta: 271,7°
Kallistuskulma: 83,6°
Tulonopeus: 30,4 km/s
Radiantin R,A,: 21:01 (315,3°)
Radiantin Dekl,: 55,8°
Meteoriparvi: Sporadinen
Meteoroidin rataelementit:
Perihelietäisyys: 0,904 AU
Eksentrisyys: 0,583
Inklinaatio: 47,3°
Nousevan solmun pituus: 145,9°
Perihelin argumentti: 224,7°
Keskianomalia: 349,7°
Epookki: 2021 AUG 18 21:42:08
orbit plot

Ei-interaktiivinen kuvaaja | Interaktiivinen kuvaaja

position vs time
speed and acceleration