🇳🇴 🇬🇧 🇩🇪 🇨🇿 🇫🇮

Meteor, poloha: Hvide Sande 2021-08-19 00:41:26 UTC

Soubor KML  |  InteraktivnĂ­ mapa

Mapa zobrazuje dráhy meteoru. Světlejší čáry ukazují směry od pozorovacích stanic při objevení se meteoru a tmavší čáry, kde byl naposledy viděn. Modrá šipka značí viditelnou dráhu meteoru.

static map
height profile
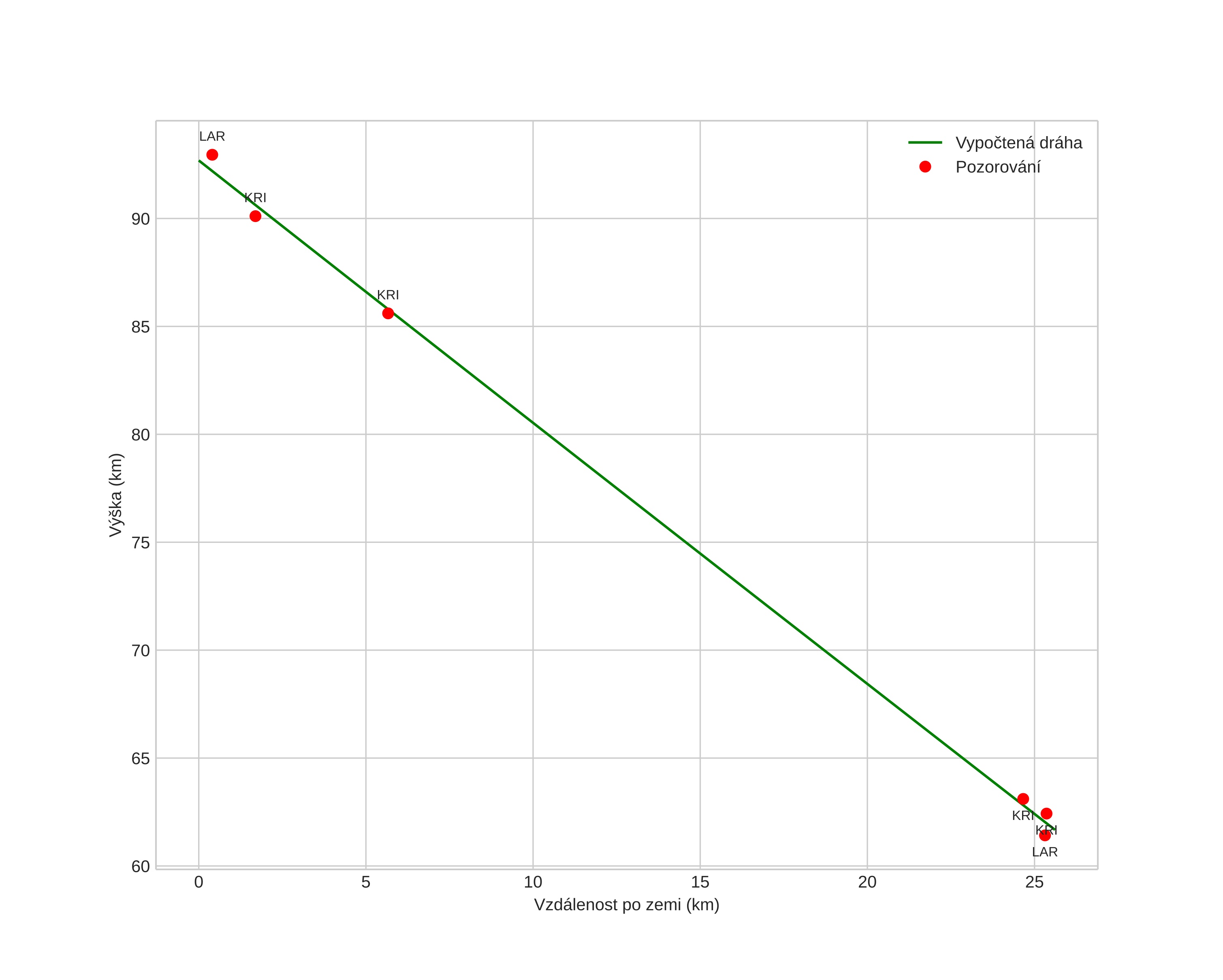
Atmosférická dráha meteoru:
Počáteční výška: 87,8 km
Konečná výška: 61,4 km
Počáteční poloha: 55,424N 6,491E
Konečná poloha: 55,277N 6,692E
Směr: 142,0°
Sklon: 51,9°
VstupnĂ­ rychlost: 25,0 km/s
Rektascenze radiantu: 17:05 (256,5°)
Deklinace radiantu: 65,9°
MeteorickĂ˝ roj: sporadickĂ˝
Elementy dráhy meteoroidu:
Vzdálenost v periheliu: 1,010 AU
Excentricita: 0,644
Sklon dráhy: 36,2°
Délka vzestupného uzlu: 146,0°
Argument perihelia: 174,5°
Střední anomálie: 0,9°
Epocha: 2021 AUG 19 00:41:26
orbit plot

NeinteraktivnĂ­ graf | InteraktivnĂ­ graf

position vs time
speed and acceleration