🇳🇴 🇬🇧 🇩🇪 🇨🇿 🇫🇮

Meteor Hvide Sanden yllä 2021-08-19 00:41:26 UTC

KML-tiedosto  |  Interaktiivinen kartta

Kartta näyttää meteorin suuntahavainnot. Vaaleammat viivat näyttävät suunnat havaintoasemilta meteorin ilmestyessä, ja tummemmat viivat näyttävät, missä se viimeksi nähtiin. Sininen nuoli näyttää meteorin näkyvän lennon.

static map
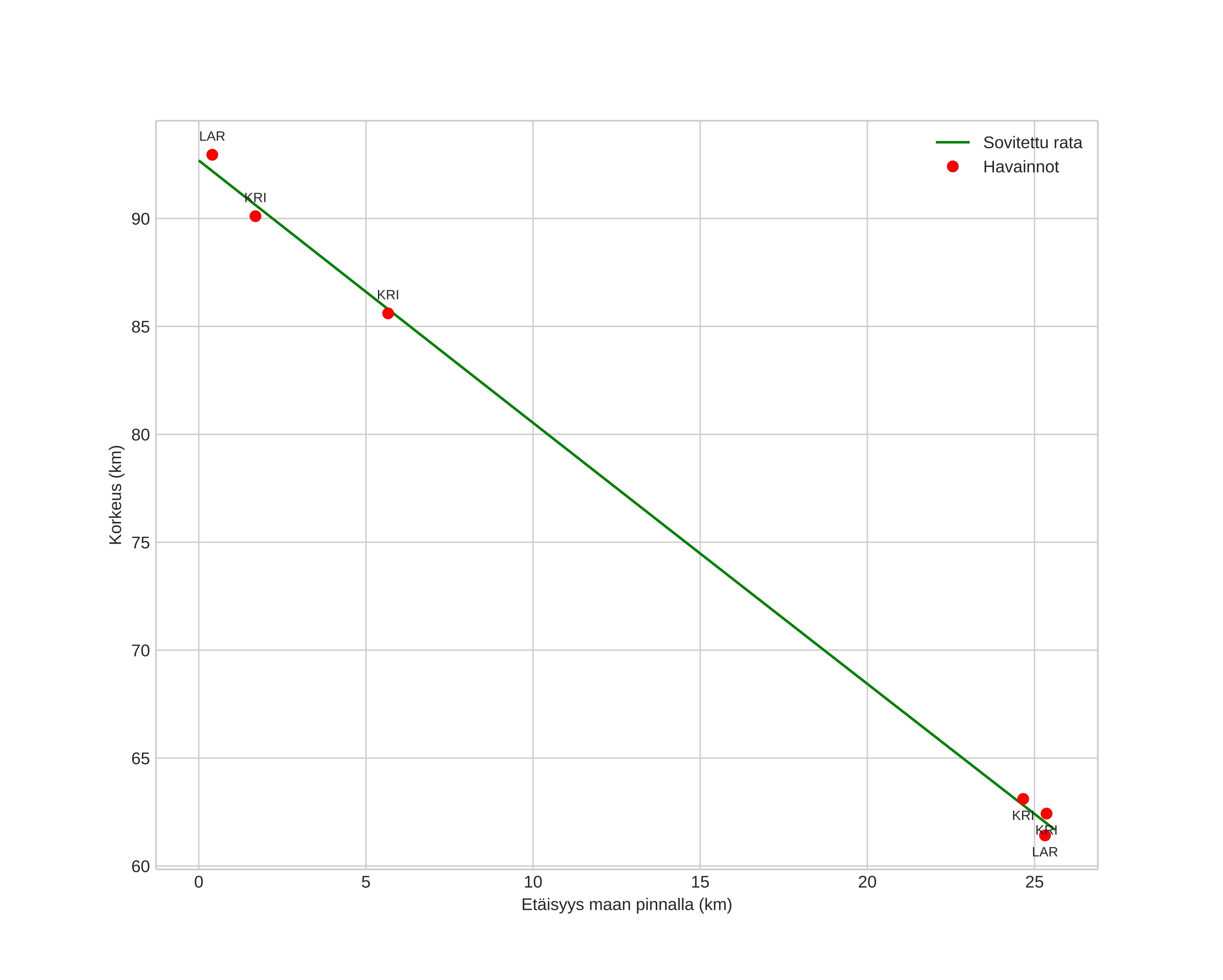
height profile
Meteorin ilmakehärata:
Alkukorkeus: 87,8 km
Loppukorkeus: 61,4 km
Alkupiste: 55,424N 6,491E
Loppupiste: 55,277N 6,692E
Suunta: 142,0°
Kallistuskulma: 51,9°
Tulonopeus: 25,0 km/s
Radiantin R,A,: 17:05 (256,5°)
Radiantin Dekl,: 65,9°
Meteoriparvi: Sporadinen
Meteoroidin rataelementit:
Perihelietäisyys: 1,010 AU
Eksentrisyys: 0,644
Inklinaatio: 36,2°
Nousevan solmun pituus: 146,0°
Perihelin argumentti: 174,5°
Keskianomalia: 0,9°
Epookki: 2021 AUG 19 00:41:26
orbit plot

Ei-interaktiivinen kuvaaja | Interaktiivinen kuvaaja

position vs time
speed and acceleration