🇳🇴 🇬🇧 🇩🇪 🇨🇿 🇫🇮

Meteor, poloha: Kjenn 2021-08-20 21:56:43 UTC

Soubor KML  |  InteraktivnĂ­ mapa

Mapa zobrazuje dráhy meteoru. Světlejší čáry ukazují směry od pozorovacích stanic při objevení se meteoru a tmavší čáry, kde byl naposledy viděn. Modrá šipka značí viditelnou dráhu meteoru.

static map
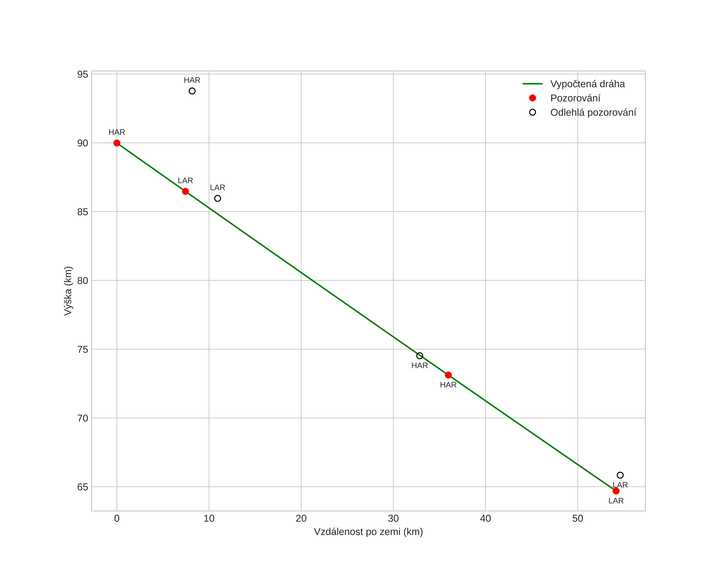
height profile
Atmosférická dráha meteoru:
Počáteční výška: 95,4 km
Konečná výška: 65,5 km
Počáteční poloha: 59,493N 11,609E
Konečná poloha: 59,960N 10,946E
Směr: 324,7°
Sklon: 25,1°
VstupnĂ­ rychlost: 31,5 km/s
Rektascenze radiantu: 22:47 (341,8°)
Deklinace radiantu: -3,0°
MeteorickĂ˝ roj: sporadickĂ˝
Elementy dráhy meteoroidu:
Vzdálenost v periheliu: 0,312 AU
Excentricita: 0,849
Sklon dráhy: 5,7°
Délka vzestupného uzlu: 147,8°
Argument perihelia: 300,5°
Střední anomálie: 345,7°
Epocha: 2021 AUG 20 21:56:43
orbit plot

NeinteraktivnĂ­ graf | InteraktivnĂ­ graf

position vs time
speed and acceleration