🇳🇴 🇬🇧 🇩🇪 🇨🇿 🇫🇮

Meteor Kjennin yllä 2021-08-20 21:56:43 UTC

KML-tiedosto  |  Interaktiivinen kartta

Kartta näyttää meteorin suuntahavainnot. Vaaleammat viivat näyttävät suunnat havaintoasemilta meteorin ilmestyessä, ja tummemmat viivat näyttävät, missä se viimeksi nähtiin. Sininen nuoli näyttää meteorin näkyvän lennon.

static map
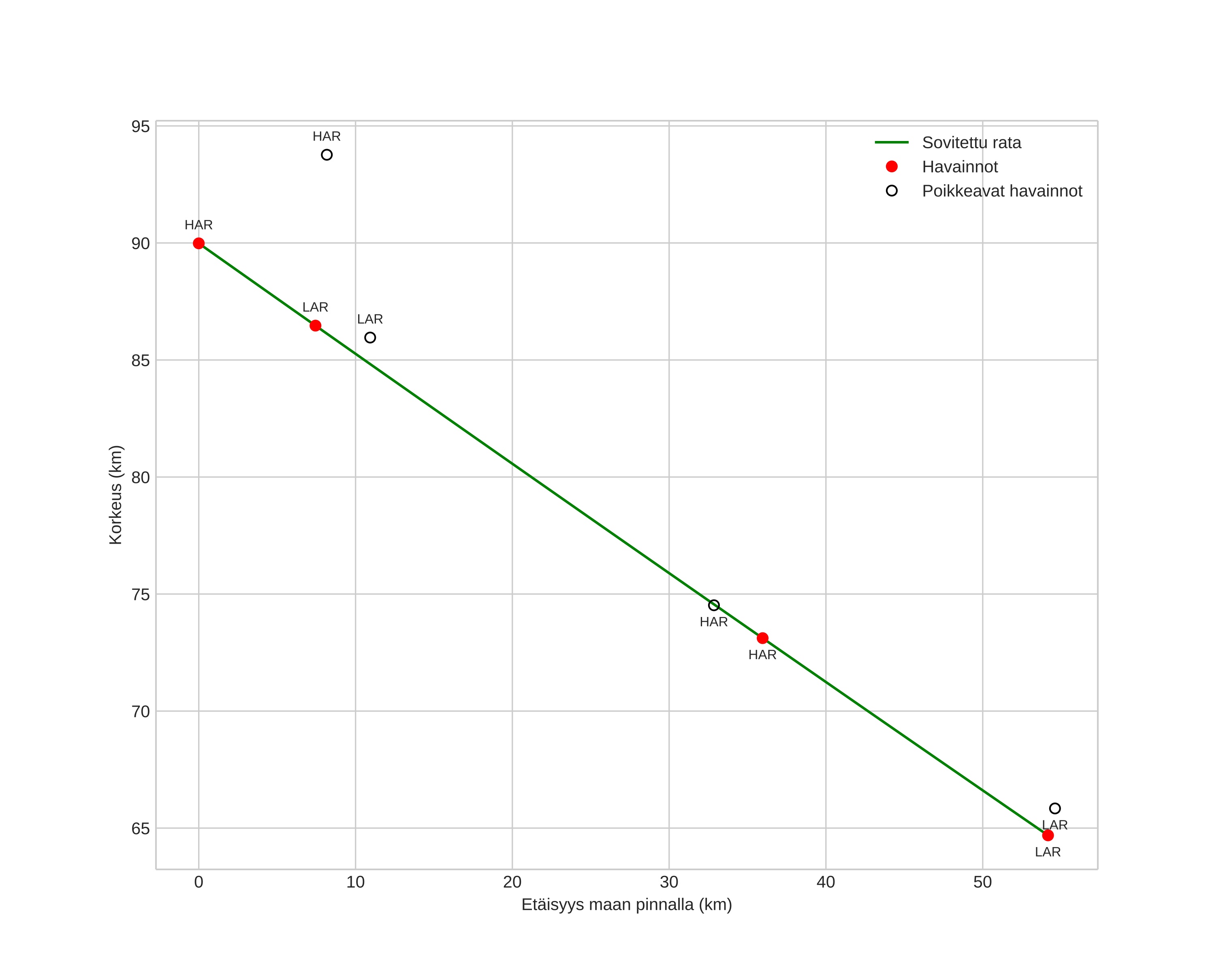
height profile
Meteorin ilmakehärata:
Alkukorkeus: 95,4 km
Loppukorkeus: 65,5 km
Alkupiste: 59,493N 11,609E
Loppupiste: 59,960N 10,946E
Suunta: 324,7°
Kallistuskulma: 25,1°
Tulonopeus: 31,5 km/s
Radiantin R,A,: 22:47 (341,8°)
Radiantin Dekl,: -3,0°
Meteoriparvi: Sporadinen
Meteoroidin rataelementit:
Perihelietäisyys: 0,312 AU
Eksentrisyys: 0,849
Inklinaatio: 5,7°
Nousevan solmun pituus: 147,8°
Perihelin argumentti: 300,5°
Keskianomalia: 345,7°
Epookki: 2021 AUG 20 21:56:43
orbit plot

Ei-interaktiivinen kuvaaja | Interaktiivinen kuvaaja

position vs time
speed and acceleration