🇳🇴 🇬🇧 🇩🇪 🇨🇿 🇫🇮

Meteor, poloha: Bua 2021-08-23 20:23:29 UTC

Soubor KML  |  InteraktivnĂ­ mapa

Mapa zobrazuje dráhy meteoru. Světlejší čáry ukazují směry od pozorovacích stanic při objevení se meteoru a tmavší čáry, kde byl naposledy viděn. Modrá šipka značí viditelnou dráhu meteoru.

static map
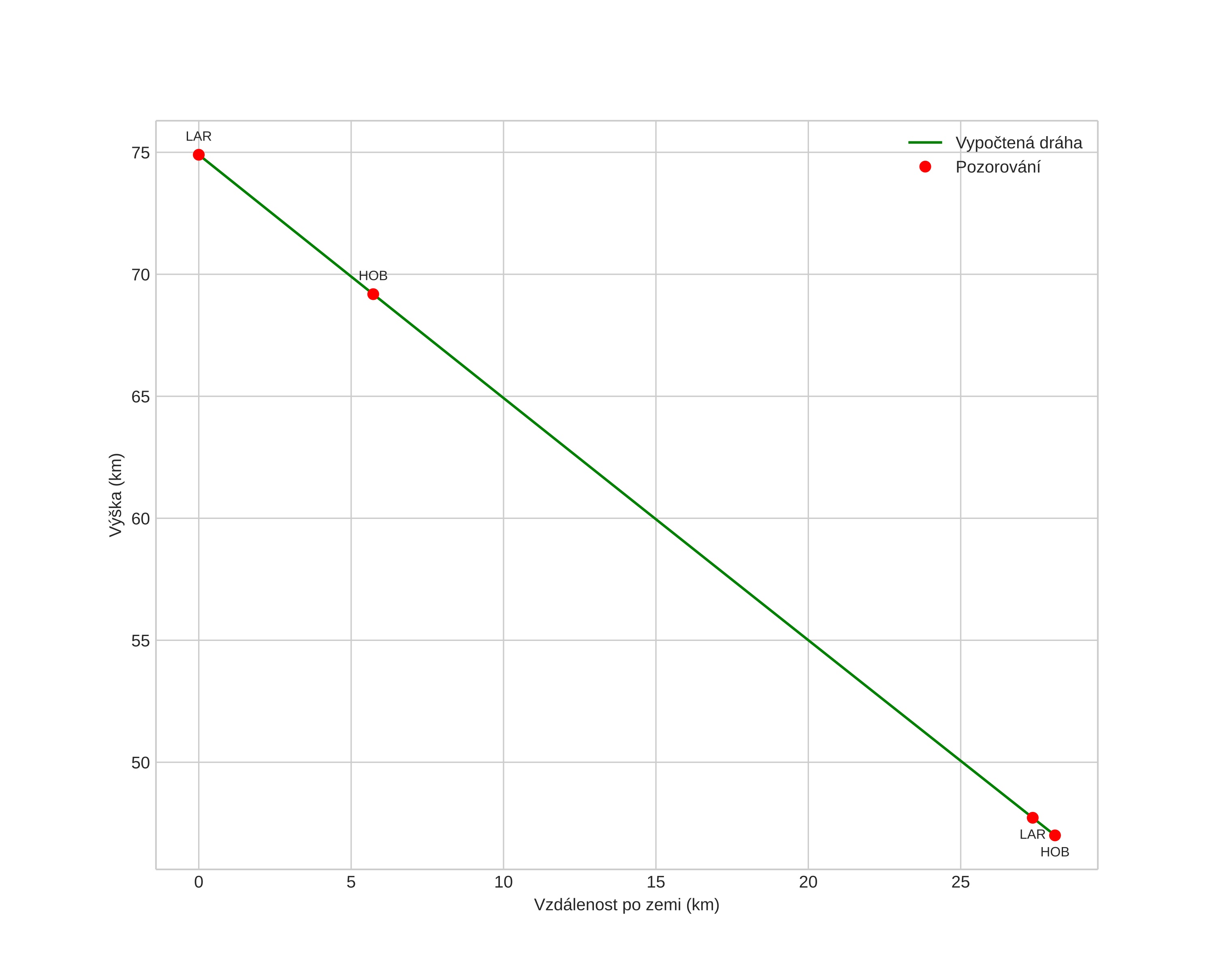
height profile
Atmosférická dráha meteoru:
Počáteční výška: 74,5 km
Konečná výška: 46,4 km
Počáteční poloha: 56,705N 11,453E
Konečná poloha: 56,913N 11,730E
Směr: 35,9°
Sklon: 44,4°
VstupnĂ­ rychlost: 14,4 km/s
Rektascenze radiantu: 17:15 (259,0°)
Deklinace radiantu: 5,3°
MeteorickĂ˝ roj: sporadickĂ˝
Elementy dráhy meteoroidu:
Vzdálenost v periheliu: 1,004 AU
Excentricita: 0,617
Sklon dráhy: 6,7°
Délka vzestupného uzlu: 150,6°
Argument perihelia: 191,0°
Střední anomálie: 357,9°
Epocha: 2021 AUG 23 20:23:29
orbit plot

NeinteraktivnĂ­ graf | InteraktivnĂ­ graf

position vs time
speed and acceleration