🇳🇴 🇬🇧 🇩🇪 🇨🇿 🇫🇮

Meteor Buan yllä 2021-08-23 20:23:29 UTC

KML-tiedosto  |  Interaktiivinen kartta

Kartta näyttää meteorin suuntahavainnot. Vaaleammat viivat näyttävät suunnat havaintoasemilta meteorin ilmestyessä, ja tummemmat viivat näyttävät, missä se viimeksi nähtiin. Sininen nuoli näyttää meteorin näkyvän lennon.

static map
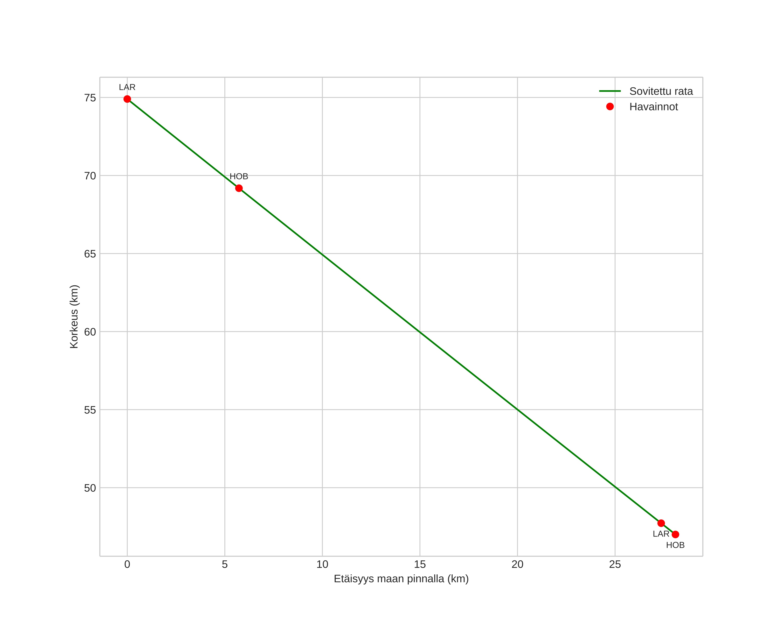
height profile
Meteorin ilmakehärata:
Alkukorkeus: 74,5 km
Loppukorkeus: 46,4 km
Alkupiste: 56,705N 11,453E
Loppupiste: 56,913N 11,730E
Suunta: 35,9°
Kallistuskulma: 44,4°
Tulonopeus: 14,4 km/s
Radiantin R,A,: 17:15 (259,0°)
Radiantin Dekl,: 5,3°
Meteoriparvi: Sporadinen
Meteoroidin rataelementit:
Perihelietäisyys: 1,004 AU
Eksentrisyys: 0,617
Inklinaatio: 6,7°
Nousevan solmun pituus: 150,6°
Perihelin argumentti: 191,0°
Keskianomalia: 357,9°
Epookki: 2021 AUG 23 20:23:29
orbit plot

Ei-interaktiivinen kuvaaja | Interaktiivinen kuvaaja

position vs time
speed and acceleration