🇳🇴 🇬🇧 🇩🇪 🇨🇿 🇫🇮

Meteor, poloha: Lesja 2021-08-23 20:30:16 UTC

Soubor KML  |  InteraktivnĂ­ mapa

Mapa zobrazuje dráhy meteoru. Světlejší čáry ukazují směry od pozorovacích stanic při objevení se meteoru a tmavší čáry, kde byl naposledy viděn. Modrá šipka značí viditelnou dráhu meteoru.

static map
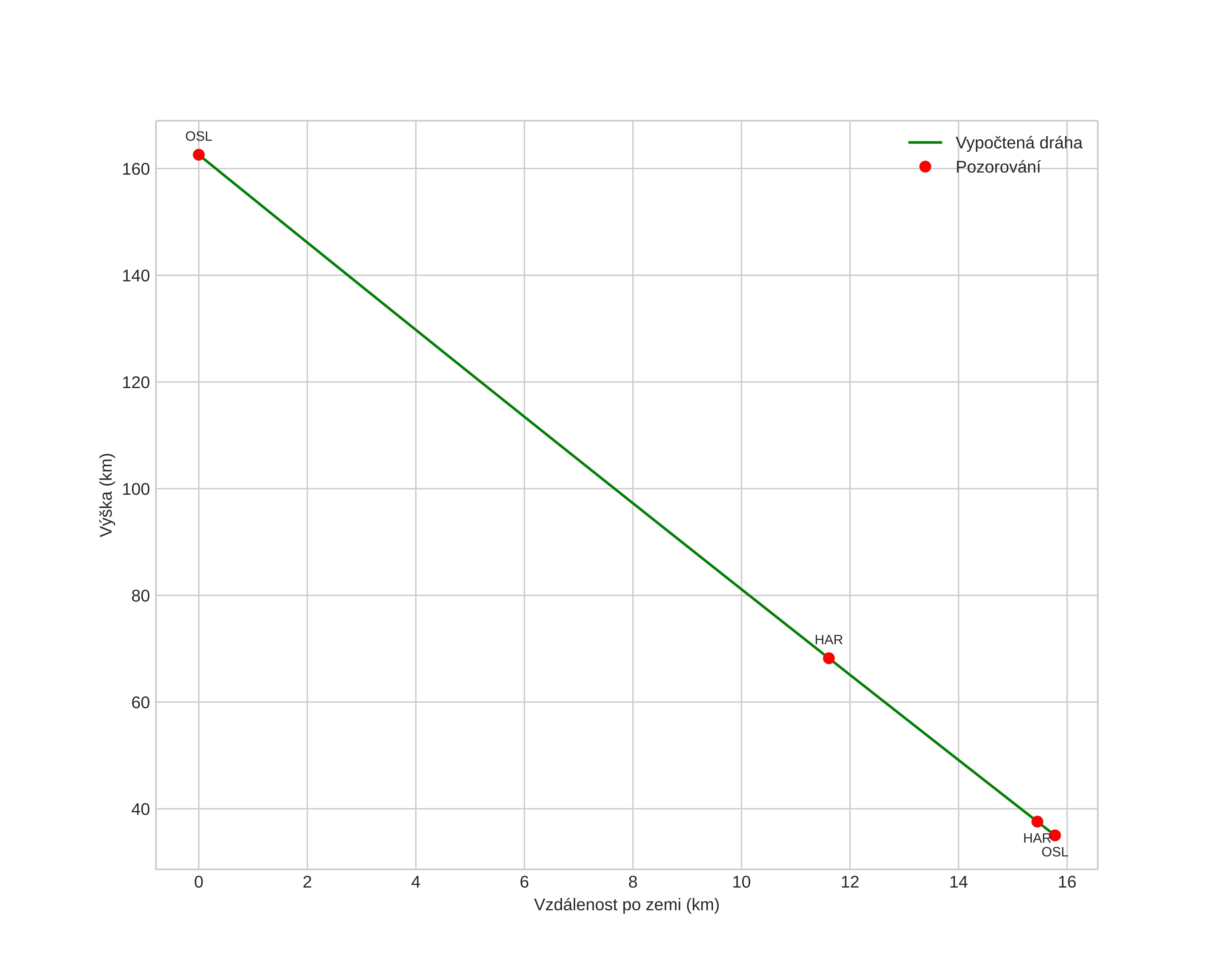
height profile
Atmosférická dráha meteoru:
Počáteční výška: 80,5 km
Konečná výška: 39,8 km
Počáteční poloha: 61,945N 8,803E
Konečná poloha: 62,031N 8,817E
Směr: 4,3°
Sklon: 76,8°
VstupnĂ­ rychlost: 21,1 km/s
Rektascenze radiantu: 19:03 (286,0°)
Deklinace radiantu: 47,5°
MeteorickĂ˝ roj: sporadickĂ˝
Elementy dráhy meteoroidu:
Vzdálenost v periheliu: 0,976 AU
Excentricita: 0,581
Sklon dráhy: 27,2°
Délka vzestupného uzlu: 150,6°
Argument perihelia: 205,2°
Střední anomálie: 354,4°
Epocha: 2021 AUG 23 20:30:16
orbit plot

NeinteraktivnĂ­ graf | InteraktivnĂ­ graf

position vs time
speed and acceleration