🇳🇴 🇬🇧 🇩🇪 🇨🇿 🇫🇮

Meteor Lesjan yllä 2021-08-23 20:30:16 UTC

KML-tiedosto  |  Interaktiivinen kartta

Kartta näyttää meteorin suuntahavainnot. Vaaleammat viivat näyttävät suunnat havaintoasemilta meteorin ilmestyessä, ja tummemmat viivat näyttävät, missä se viimeksi nähtiin. Sininen nuoli näyttää meteorin näkyvän lennon.

static map
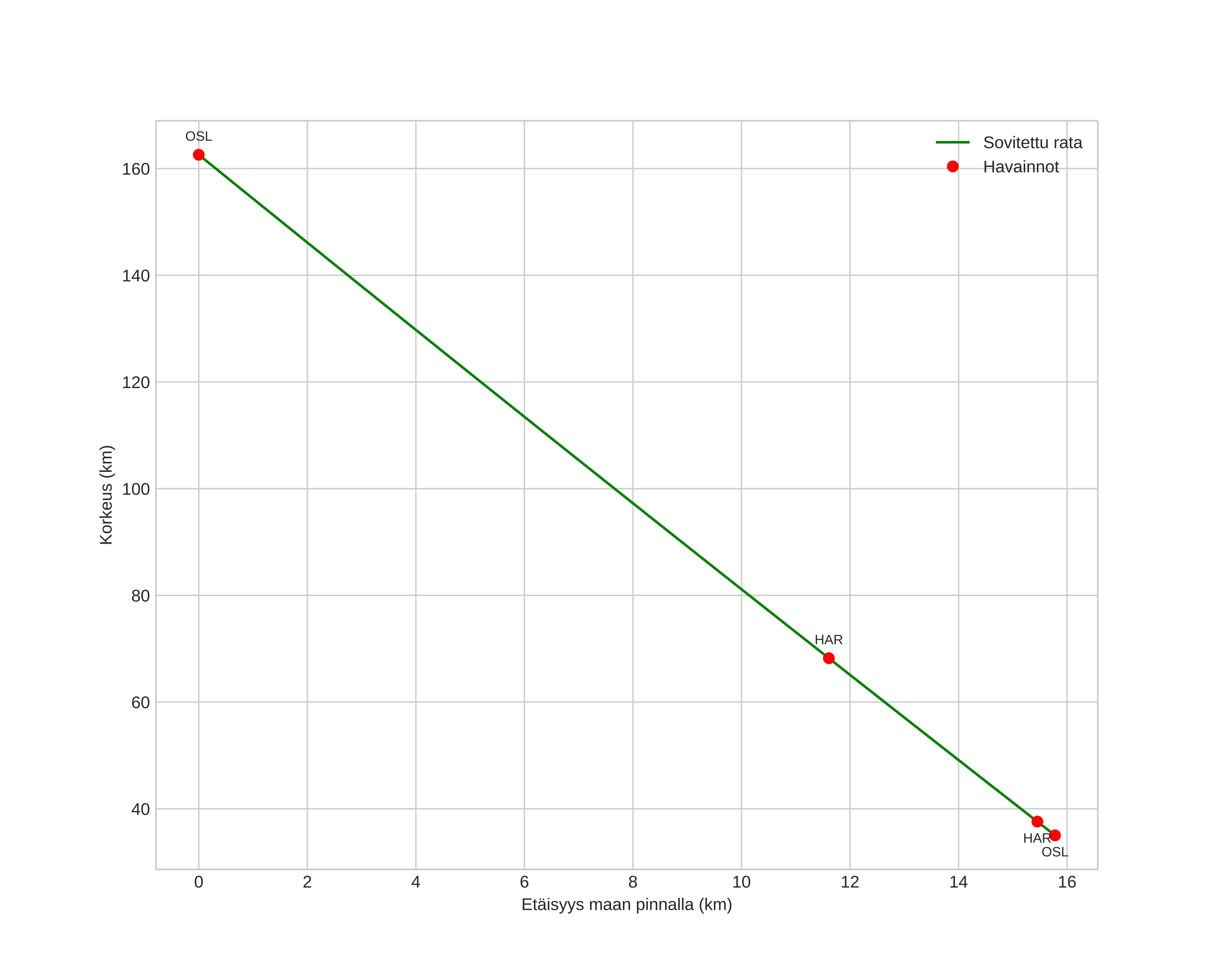
height profile
Meteorin ilmakehärata:
Alkukorkeus: 80,5 km
Loppukorkeus: 39,8 km
Alkupiste: 61,945N 8,803E
Loppupiste: 62,031N 8,817E
Suunta: 4,3°
Kallistuskulma: 76,8°
Tulonopeus: 21,1 km/s
Radiantin R,A,: 19:03 (286,0°)
Radiantin Dekl,: 47,5°
Meteoriparvi: Sporadinen
Meteoroidin rataelementit:
Perihelietäisyys: 0,976 AU
Eksentrisyys: 0,581
Inklinaatio: 27,2°
Nousevan solmun pituus: 150,6°
Perihelin argumentti: 205,2°
Keskianomalia: 354,4°
Epookki: 2021 AUG 23 20:30:16
orbit plot

Ei-interaktiivinen kuvaaja | Interaktiivinen kuvaaja

position vs time
speed and acceleration