🇳🇴 🇬🇧 🇩🇪 🇨🇿 🇫🇮

Meteor, poloha: Brøstadbotn 2021-08-26 23:38:30 UTC

Soubor KML  |  InteraktivnĂ­ mapa

Mapa zobrazuje dráhy meteoru. Světlejší čáry ukazují směry od pozorovacích stanic při objevení se meteoru a tmavší čáry, kde byl naposledy viděn. Modrá šipka značí viditelnou dráhu meteoru.

static map
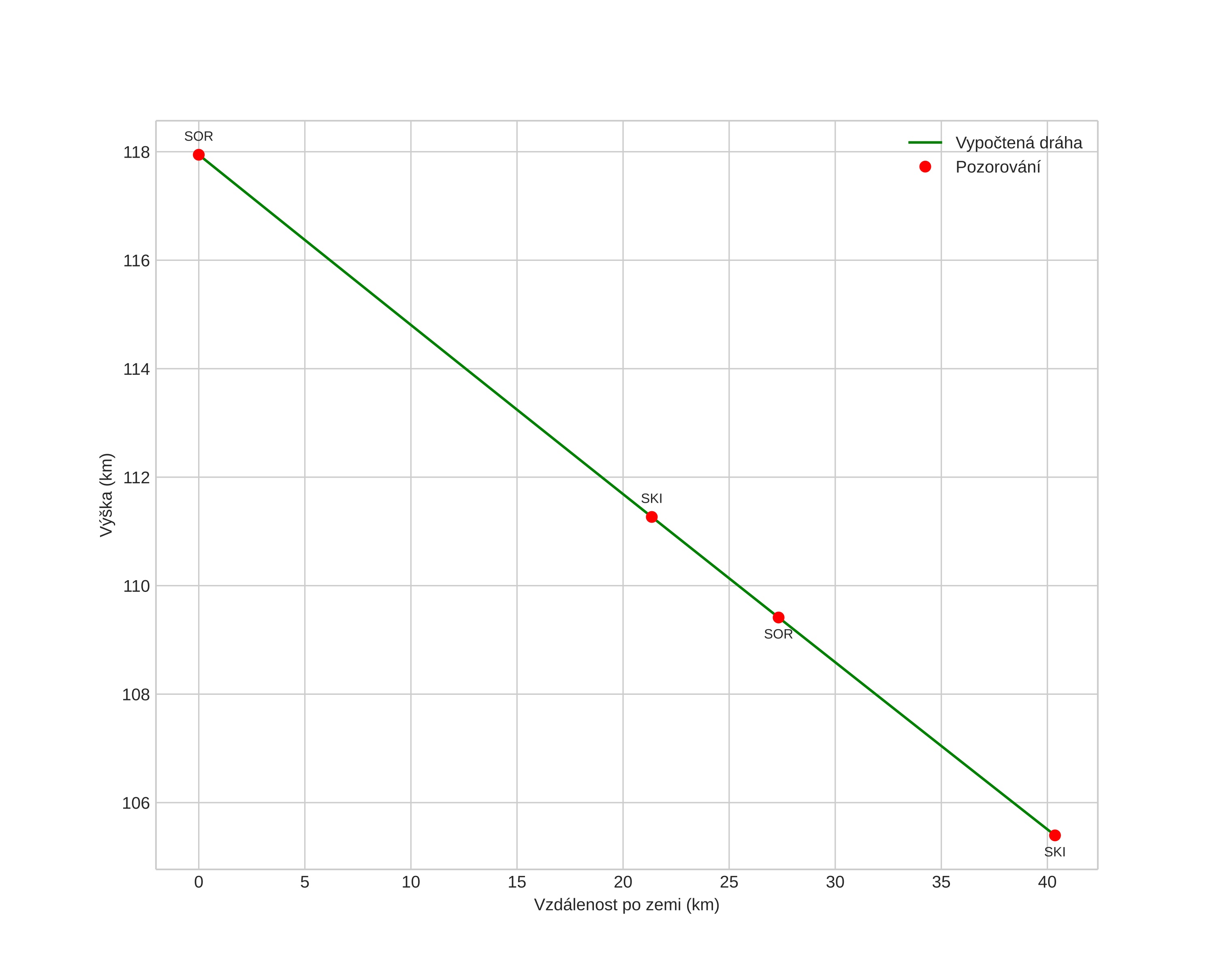
height profile
Atmosférická dráha meteoru:
Počáteční výška: 125,5 km
Konečná výška: 103,9 km
Počáteční poloha: 70,046N 18,252E
Konečná poloha: 69,713N 17,213E
Směr: 227,5°
Sklon: 21,7°
VstupnĂ­ rychlost: 63,1 km/s
Rektascenze radiantu: 07:28 (112,2°)
Deklinace radiantu: 33,7°
MeteorickĂ˝ roj: sporadickĂ˝
Elementy dráhy meteoroidu:
Vzdálenost v periheliu: 0,186 AU
Excentricita: 1,084
Sklon dráhy: 136,8°
Délka vzestupného uzlu: 153,6°
Argument perihelia: 55,4°
Střední anomálie: 9,5°
Epocha: 2021 AUG 26 23:38:30
orbit plot

NeinteraktivnĂ­ graf | InteraktivnĂ­ graf

position vs time
speed and acceleration