🇳🇴 🇬🇧 🇩🇪 🇨🇿 🇫🇮

Meteor Brøstadbotnin yllä 2021-08-26 23:38:30 UTC

KML-tiedosto  |  Interaktiivinen kartta

Kartta näyttää meteorin suuntahavainnot. Vaaleammat viivat näyttävät suunnat havaintoasemilta meteorin ilmestyessä, ja tummemmat viivat näyttävät, missä se viimeksi nähtiin. Sininen nuoli näyttää meteorin näkyvän lennon.

static map
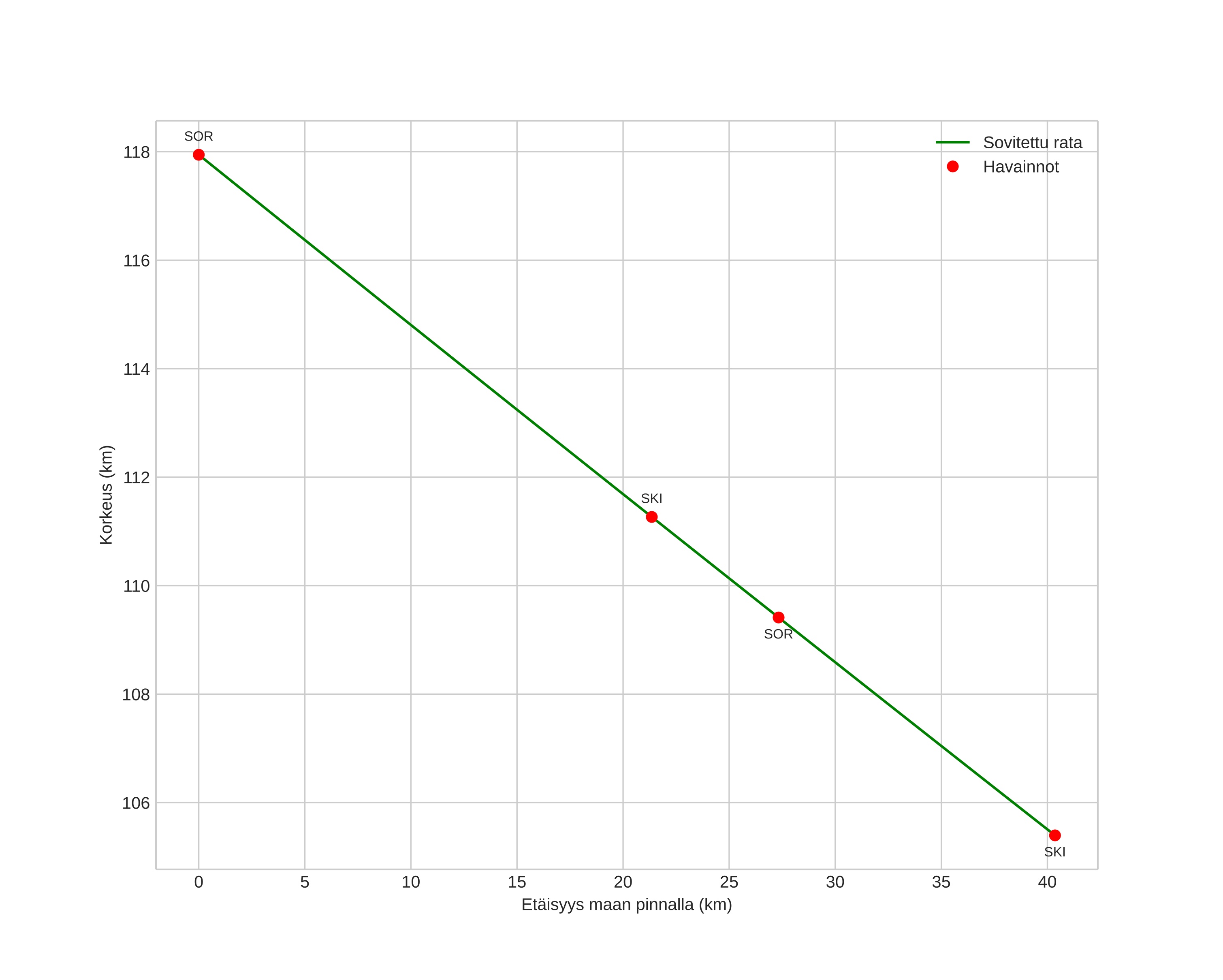
height profile
Meteorin ilmakehärata:
Alkukorkeus: 125,5 km
Loppukorkeus: 103,9 km
Alkupiste: 70,046N 18,252E
Loppupiste: 69,713N 17,213E
Suunta: 227,5°
Kallistuskulma: 21,7°
Tulonopeus: 63,1 km/s
Radiantin R,A,: 07:28 (112,2°)
Radiantin Dekl,: 33,7°
Meteoriparvi: Sporadinen
Meteoroidin rataelementit:
Perihelietäisyys: 0,186 AU
Eksentrisyys: 1,084
Inklinaatio: 136,8°
Nousevan solmun pituus: 153,6°
Perihelin argumentti: 55,4°
Keskianomalia: 9,5°
Epookki: 2021 AUG 26 23:38:30
orbit plot

Ei-interaktiivinen kuvaaja | Interaktiivinen kuvaaja

position vs time
speed and acceleration

Skibotn (SKI) cam4


gnomonic
Videot:
• Gnomoninen
• Gnomoninen koordinaateilla
• Alkuperäinen
• Alkuperäinen koordinaateilla
Kuvat:
• Gnomoninen
• Gnomoninen koordinaateilla
• Gnomoninen merkinnöillä
• Alkuperäinen
• Alkuperäinen koordinaateilla
• Alkuperäinen maskilla
Tekstitiedostot:
• Havaintoraportti
• Observaatio
• Koordinaatit
• Virheilmoitukset
• Loki
Kirkkaus