🇳🇴 🇬🇧 🇩🇪 🇨🇿 🇫🇮

Meteor, poloha: Bergset 2021-08-27 20:15:05 UTC

Soubor KML  |  InteraktivnĂ­ mapa

Mapa zobrazuje dráhy meteoru. Světlejší čáry ukazují směry od pozorovacích stanic při objevení se meteoru a tmavší čáry, kde byl naposledy viděn. Modrá šipka značí viditelnou dráhu meteoru.

static map
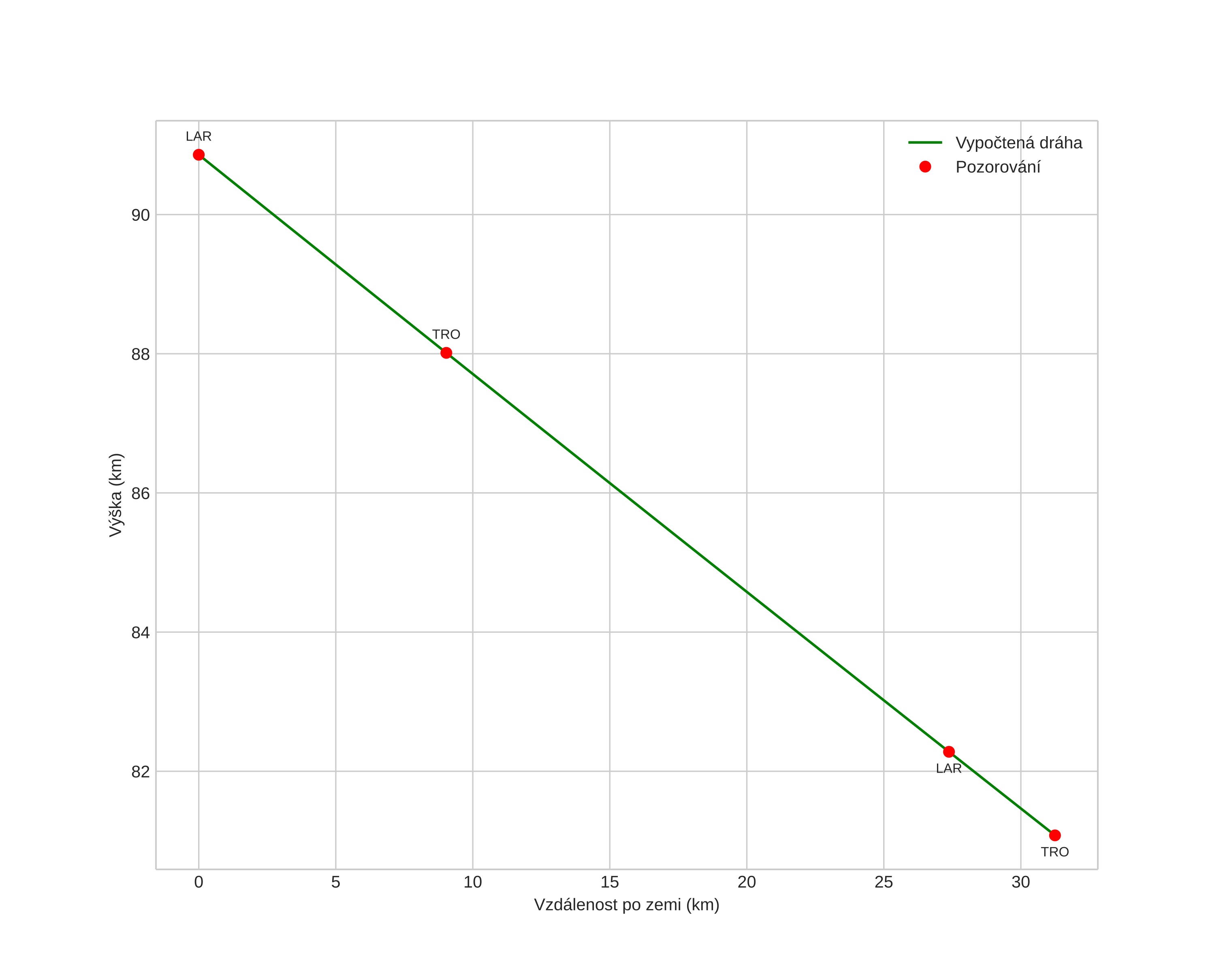
height profile
Atmosférická dráha meteoru:
Počáteční výška: 90,6 km
Konečná výška: 82,1 km
Počáteční poloha: 61,775N 11,458E
Konečná poloha: 61,857N 10,945E
Směr: 288,8°
Sklon: 16,6°
VstupnĂ­ rychlost: 41,3 km/s
Rektascenze radiantu: 23:50 (357,6°)
Deklinace radiantu: 4,5°
MeteorickĂ˝ roj: sporadickĂ˝
Elementy dráhy meteoroidu:
Vzdálenost v periheliu: 0,103 AU
Excentricita: 0,967
Sklon dráhy: 15,5°
Délka vzestupného uzlu: 154,5°
Argument perihelia: 325,8°
Střední anomálie: 354,1°
Epocha: 2021 AUG 27 20:15:05
orbit plot

NeinteraktivnĂ­ graf | InteraktivnĂ­ graf

position vs time
speed and acceleration