🇳🇴 🇬🇧 🇩🇪 🇨🇿 🇫🇮

Meteor Bergsetin yllä 2021-08-27 20:15:05 UTC

KML-tiedosto  |  Interaktiivinen kartta

Kartta näyttää meteorin suuntahavainnot. Vaaleammat viivat näyttävät suunnat havaintoasemilta meteorin ilmestyessä, ja tummemmat viivat näyttävät, missä se viimeksi nähtiin. Sininen nuoli näyttää meteorin näkyvän lennon.

static map
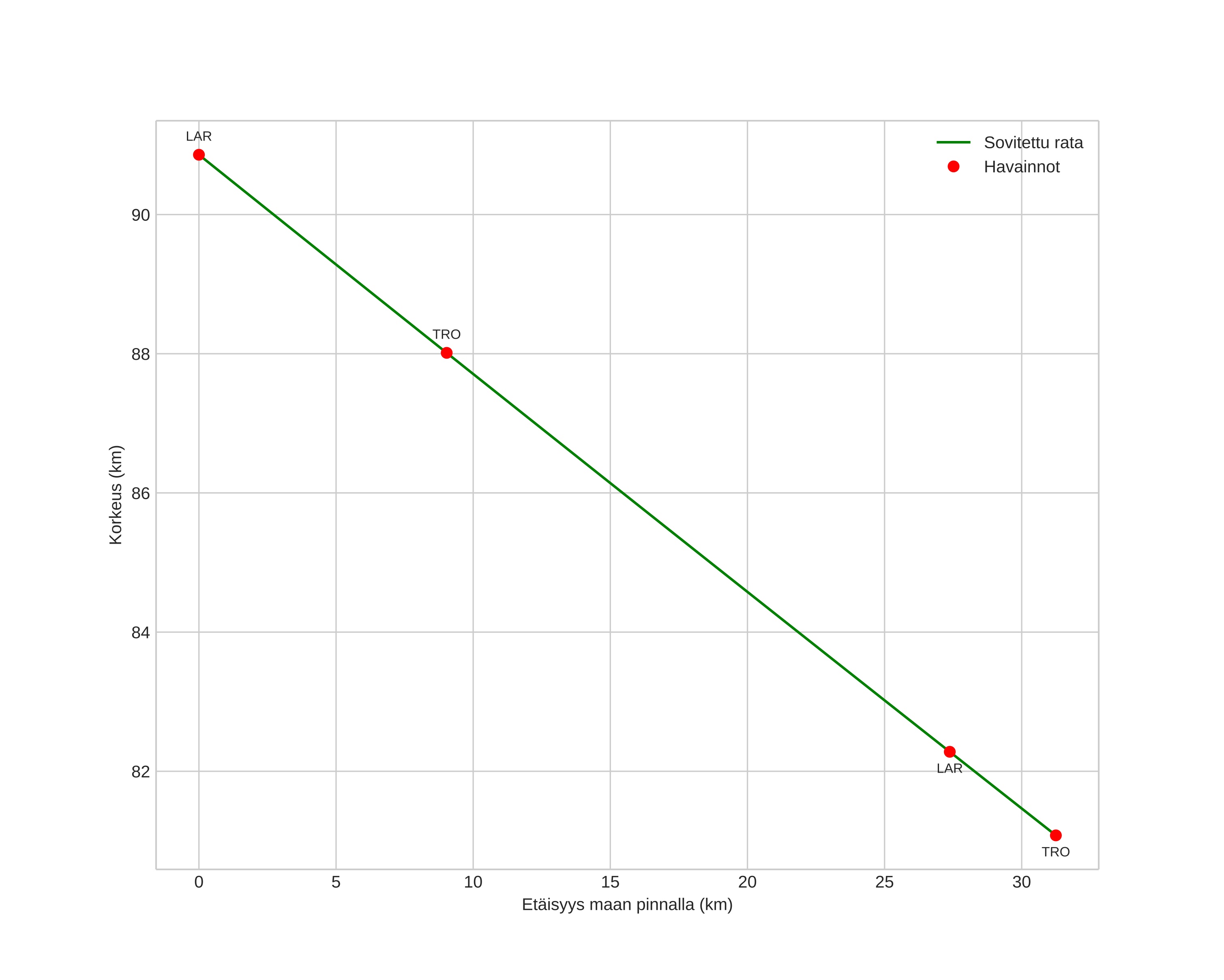
height profile
Meteorin ilmakehärata:
Alkukorkeus: 90,6 km
Loppukorkeus: 82,1 km
Alkupiste: 61,775N 11,458E
Loppupiste: 61,857N 10,945E
Suunta: 288,8°
Kallistuskulma: 16,6°
Tulonopeus: 41,3 km/s
Radiantin R,A,: 23:50 (357,6°)
Radiantin Dekl,: 4,5°
Meteoriparvi: Sporadinen
Meteoroidin rataelementit:
Perihelietäisyys: 0,103 AU
Eksentrisyys: 0,967
Inklinaatio: 15,5°
Nousevan solmun pituus: 154,5°
Perihelin argumentti: 325,8°
Keskianomalia: 354,1°
Epookki: 2021 AUG 27 20:15:05
orbit plot

Ei-interaktiivinen kuvaaja | Interaktiivinen kuvaaja

position vs time
speed and acceleration

Trondheim (TRO) cam1


gnomonic
Videot:
• Gnomoninen
• Gnomoninen koordinaateilla
• Alkuperäinen
• Alkuperäinen koordinaateilla
Kuvat:
• Gnomoninen
• Gnomoninen koordinaateilla
• Gnomoninen merkinnöillä
• Alkuperäinen
• Alkuperäinen koordinaateilla
• Alkuperäinen maskilla
Tekstitiedostot:
• Havaintoraportti
• Observaatio
• Koordinaatit
• Virheilmoitukset
• Loki
Kirkkaus