🇳🇴 🇬🇧 🇩🇪 🇨🇿 🇫🇮

Meteor über Tolga 2021-08-27 21:32:29 UTC

Ørsta – 1
Ørsta – 1
Trondheim – 1
Trondheim – 1
Trondheim – 3
Trondheim – 3

KML-Datei  | Interaktive Karte

map

Die Karte zeigt die Peilungen für den Meteor. Die helleren Linien zeigen die Richtungen von den Beobachtungsorten beim Erscheinen des Meteors, und die dunkleren Linien, wo er zuletzt gesehen wurde. Der blaue Pfeil zeigt die sichtbare Bahn des Meteors.

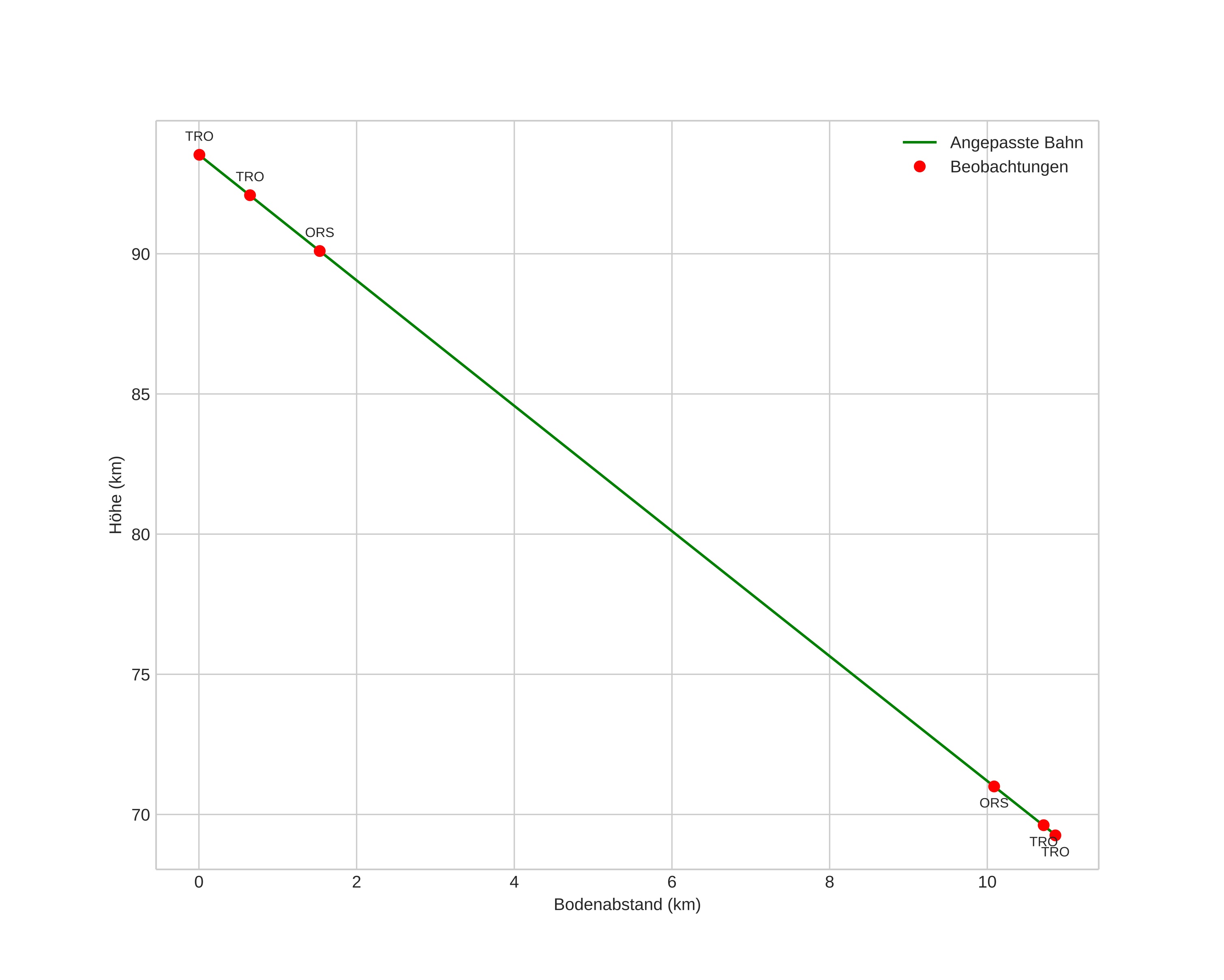
height profile
Atmosphärische Bahn des Meteors:
Anfangshöhe: 99,0 km
Endhöhe: 69,2 km
Startposition: 62,500N 10,690E
Endposition: 62,441N 10,909E
Richtung: 120,1°
Neigungswinkel: 66,4°
Eintrittsgeschwindigkeit: 24,2 km/s
Rektaszension des Radianten: 16:47 (251,8°)
Deklination des Radianten: 63,9°
Meteorstrom: sporadisch
Bahnelemente des Meteoroiden:
Periheldistanz: 1,006 AU
Exzentrizität: 0,638
Inklination: 34,3°
Länge des aufsteigenden Knotens: 154,5°
Argument des Perihels: 172,0°
Mittlere Anomalie: 1,4°
Epoche: 2021 AUG 27 21:32:29
orbit

Nicht-interaktives Diagramm | Interaktives Diagramm

position vs time
speed & acceleration