🇳🇴 🇬🇧 🇩🇪 🇨🇿 🇫🇮

Meteor Tolgan yllä 2021-08-27 21:32:29 UTC

Ørsta – 1
Ørsta – 1
Trondheim – 1
Trondheim – 1
Trondheim – 3
Trondheim – 3

KML-tiedosto  | Interaktiivinen kartta

map

Kartta näyttää meteorin suuntahavainnot. Vaaleammat viivat näyttävät suunnat havaintoasemilta meteorin ilmestyessä, ja tummemmat viivat näyttävät, missä se viimeksi nähtiin. Sininen nuoli näyttää meteorin näkyvän lennon.

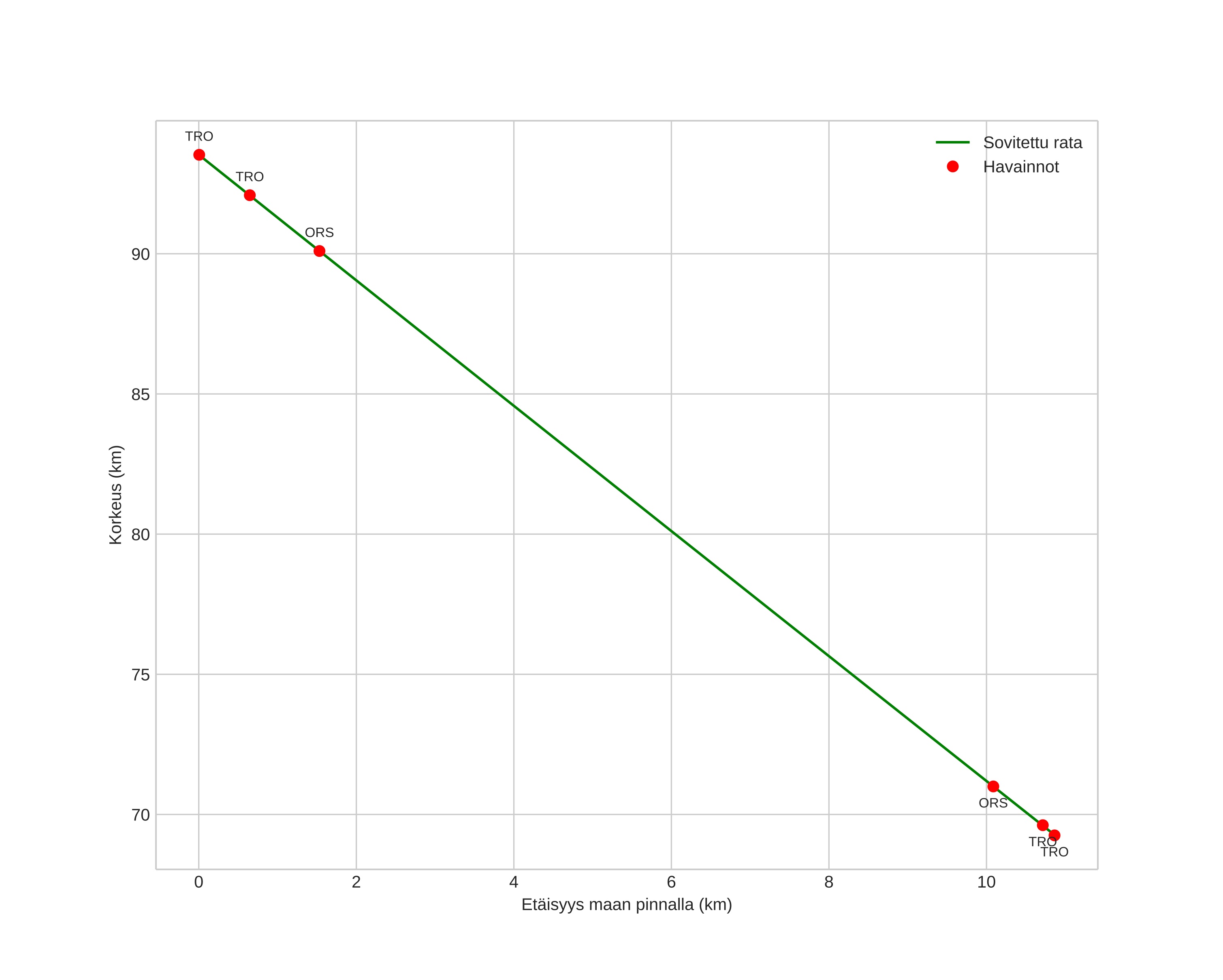
height profile
Meteorin ilmakehärata:
Alkukorkeus: 99,0 km
Loppukorkeus: 69,2 km
Alkupiste: 62,500N 10,690E
Loppupiste: 62,441N 10,909E
Suunta: 120,1°
Kallistuskulma: 66,4°
Tulonopeus: 24,2 km/s
Radiantin R,A,: 16:47 (251,8°)
Radiantin Dekl,: 63,9°
Meteoriparvi: Sporadinen
Meteoroidin rataelementit:
Perihelietäisyys: 1,006 AU
Eksentrisyys: 0,638
Inklinaatio: 34,3°
Nousevan solmun pituus: 154,5°
Perihelin argumentti: 172,0°
Keskianomalia: 1,4°
Epookki: 2021 AUG 27 21:32:29
orbit

Ei-interaktiivinen kuvaaja | Interaktiivinen kuvaaja

position vs time
speed & acceleration