🇳🇴 🇬🇧 🇩🇪 🇨🇿 🇫🇮

Meteor, poloha: Hauge i Dalane 2021-08-31 21:22:30 UTC

Soubor KML  |  InteraktivnĂ­ mapa

Mapa zobrazuje dráhy meteoru. Světlejší čáry ukazují směry od pozorovacích stanic při objevení se meteoru a tmavší čáry, kde byl naposledy viděn. Modrá šipka značí viditelnou dráhu meteoru.

static map
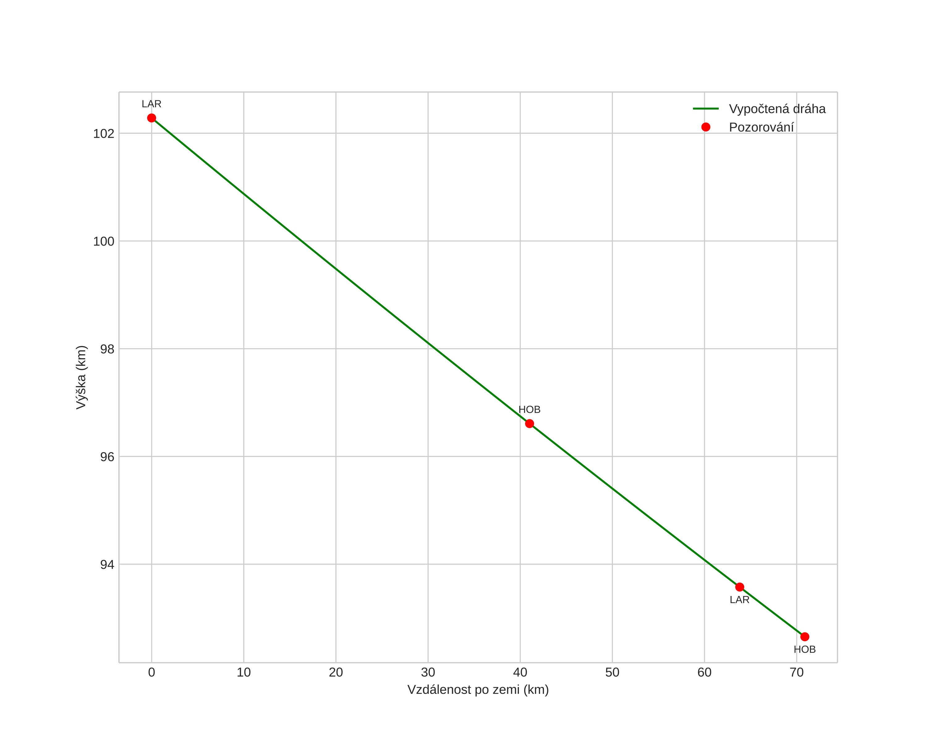
height profile
Atmosférická dráha meteoru:
Počáteční výška: 100,6 km
Konečná výška: 92,8 km
Počáteční poloha: 58,268N 6,528E
Konečná poloha: 57,831N 6,012E
Směr: 212,2°
Sklon: 7,8°
VstupnĂ­ rychlost: 69,9 km/s
Rektascenze radiantu: 05:52 (88,0°)
Deklinace radiantu: 33,2°
MeteorickĂ˝ roj: alpha-aurigidene
Elementy dráhy meteoroidu:
Vzdálenost v periheliu: 0,733 AU
Excentricita: 1,063
Sklon dráhy: 161,2°
Délka vzestupného uzlu: 158,4°
Argument perihelia: 117,9°
Střední anomálie: 0,8°
Epocha: 2021 AUG 31 21:22:30
orbit plot

NeinteraktivnĂ­ graf | InteraktivnĂ­ graf

position vs time
speed and acceleration