🇳🇴 🇬🇧 🇩🇪 🇨🇿 🇫🇮

Meteor Hauge i Dalanen yllä 2021-08-31 21:22:30 UTC

KML-tiedosto  |  Interaktiivinen kartta

Kartta näyttää meteorin suuntahavainnot. Vaaleammat viivat näyttävät suunnat havaintoasemilta meteorin ilmestyessä, ja tummemmat viivat näyttävät, missä se viimeksi nähtiin. Sininen nuoli näyttää meteorin näkyvän lennon.

static map
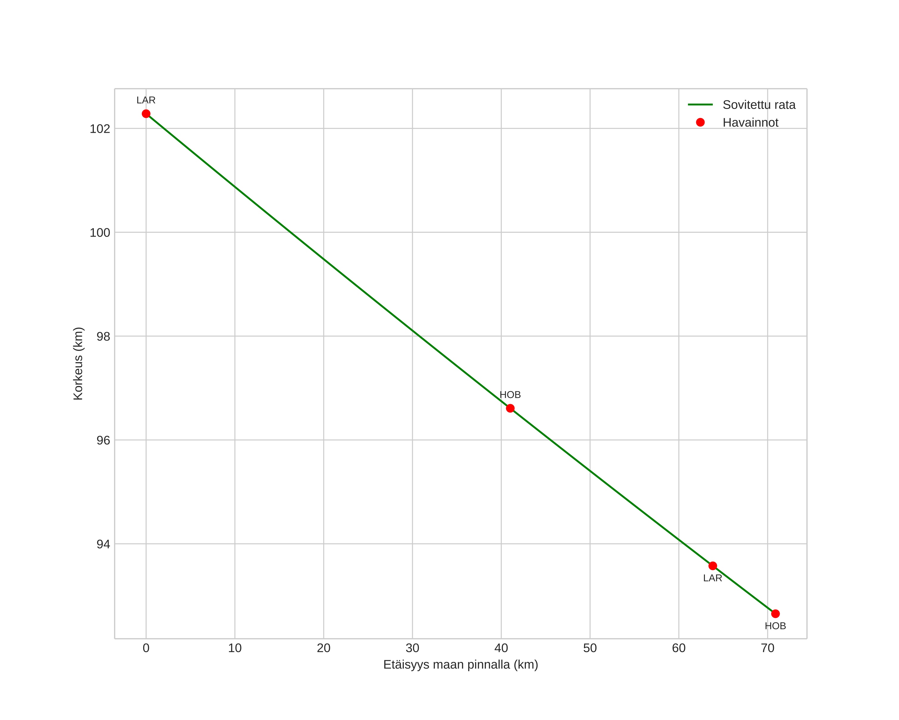
height profile
Meteorin ilmakehärata:
Alkukorkeus: 100,6 km
Loppukorkeus: 92,8 km
Alkupiste: 58,268N 6,528E
Loppupiste: 57,831N 6,012E
Suunta: 212,2°
Kallistuskulma: 7,8°
Tulonopeus: 69,9 km/s
Radiantin R,A,: 05:52 (88,0°)
Radiantin Dekl,: 33,2°
Meteoriparvi: alpha-aurigidene
Meteoroidin rataelementit:
Perihelietäisyys: 0,733 AU
Eksentrisyys: 1,063
Inklinaatio: 161,2°
Nousevan solmun pituus: 158,4°
Perihelin argumentti: 117,9°
Keskianomalia: 0,8°
Epookki: 2021 AUG 31 21:22:30
orbit plot

Ei-interaktiivinen kuvaaja | Interaktiivinen kuvaaja

position vs time
speed and acceleration