🇳🇴 🇬🇧 🇩🇪 🇨🇿 🇫🇮

Meteor, poloha: Byrum 2021-08-31 21:43:35 UTC

Soubor KML  |  InteraktivnĂ­ mapa

Mapa zobrazuje dráhy meteoru. Světlejší čáry ukazují směry od pozorovacích stanic při objevení se meteoru a tmavší čáry, kde byl naposledy viděn. Modrá šipka značí viditelnou dráhu meteoru.

static map
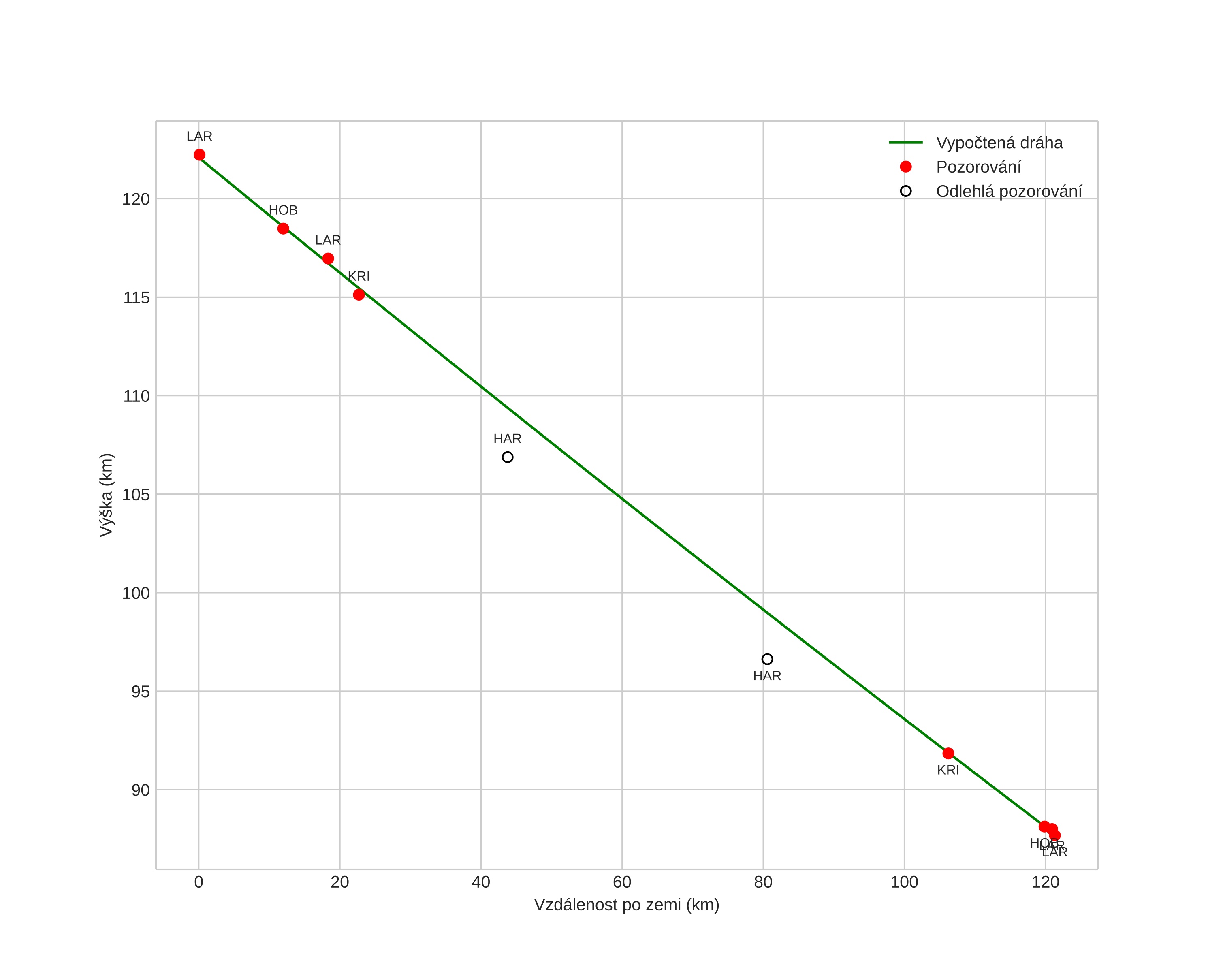
height profile
Atmosférická dráha meteoru:
Počáteční výška: 122,4 km
Konečná výška: 88,1 km
Počáteční poloha: 58,238N 12,532E
Konečná poloha: 57,359N 11,306E
Směr: 217,1°
Sklon: 15,7°
VstupnĂ­ rychlost: 67,0 km/s
Rektascenze radiantu: 05:59 (90,0°)
Deklinace radiantu: 38,9°
MeteorickĂ˝ roj: alpha-aurigidene
Elementy dráhy meteoroidu:
Vzdálenost v periheliu: 0,692 AU
Excentricita: 0,966
Sklon dráhy: 149,2°
Délka vzestupného uzlu: 158,4°
Argument perihelia: 111,2°
Střední anomálie: 0,4°
Epocha: 2021 AUG 31 21:43:35
orbit plot

NeinteraktivnĂ­ graf | InteraktivnĂ­ graf

position vs time
speed and acceleration