🇳🇴 🇬🇧 🇩🇪 🇨🇿 🇫🇮

Meteor Byrumin yllä 2021-08-31 21:43:35 UTC

KML-tiedosto  |  Interaktiivinen kartta

Kartta näyttää meteorin suuntahavainnot. Vaaleammat viivat näyttävät suunnat havaintoasemilta meteorin ilmestyessä, ja tummemmat viivat näyttävät, missä se viimeksi nähtiin. Sininen nuoli näyttää meteorin näkyvän lennon.

static map
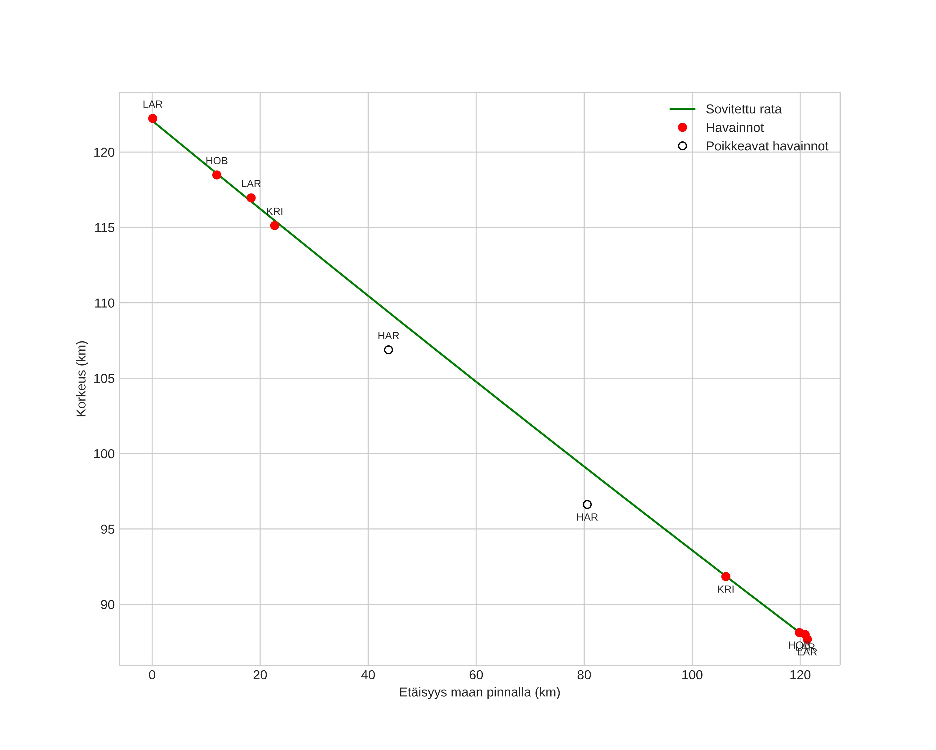
height profile
Meteorin ilmakehärata:
Alkukorkeus: 122,4 km
Loppukorkeus: 88,1 km
Alkupiste: 58,238N 12,532E
Loppupiste: 57,359N 11,306E
Suunta: 217,1°
Kallistuskulma: 15,7°
Tulonopeus: 67,0 km/s
Radiantin R,A,: 05:59 (90,0°)
Radiantin Dekl,: 38,9°
Meteoriparvi: alpha-aurigidene
Meteoroidin rataelementit:
Perihelietäisyys: 0,692 AU
Eksentrisyys: 0,966
Inklinaatio: 149,2°
Nousevan solmun pituus: 158,4°
Perihelin argumentti: 111,2°
Keskianomalia: 0,4°
Epookki: 2021 AUG 31 21:43:35
orbit plot

Ei-interaktiivinen kuvaaja | Interaktiivinen kuvaaja

position vs time
speed and acceleration