🇳🇴 🇬🇧 🇩🇪 🇨🇿 🇫🇮

Meteor, poloha: Løkken 2021-08-31 21:51:08 UTC

Soubor KML  |  InteraktivnĂ­ mapa

Mapa zobrazuje dráhy meteoru. Světlejší čáry ukazují směry od pozorovacích stanic při objevení se meteoru a tmavší čáry, kde byl naposledy viděn. Modrá šipka značí viditelnou dráhu meteoru.

static map
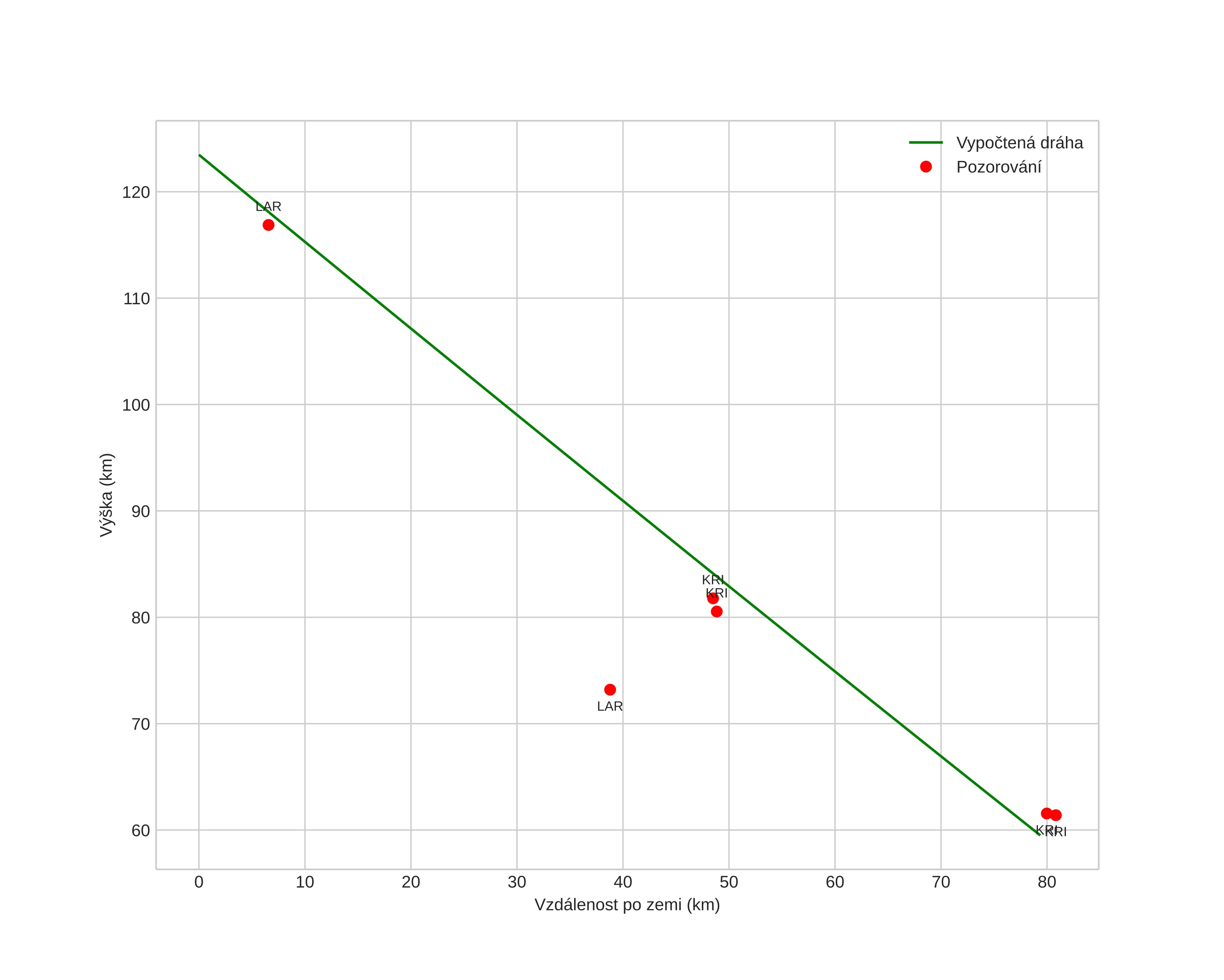
height profile
Atmosférická dráha meteoru:
Počáteční výška: 111,7 km
Konečná výška: 61,6 km
Počáteční poloha: 57,862N 10,605E
Konečná poloha: 57,684N 9,500E
Směr: 253,6°
Sklon: 36,2°
VstupnĂ­ rychlost: 60,9 km/s
Rektascenze radiantu: 02:38 (39,7°)
Deklinace radiantu: 38,0°
MeteorickĂ˝ roj: sporadickĂ˝
Elementy dráhy meteoroidu:
Vzdálenost v periheliu: 0,686 AU
Excentricita: 0,684
Sklon dráhy: 136,5°
Délka vzestupného uzlu: 158,4°
Argument perihelia: 257,8°
Střední anomálie: 345,9°
Epocha: 2021 AUG 31 21:51:08
orbit plot

NeinteraktivnĂ­ graf | InteraktivnĂ­ graf

position vs time
speed and acceleration