🇳🇴 🇬🇧 🇩🇪 🇨🇿 🇫🇮

Meteor Løkkenin yllä 2021-08-31 21:51:08 UTC

KML-tiedosto  |  Interaktiivinen kartta

Kartta näyttää meteorin suuntahavainnot. Vaaleammat viivat näyttävät suunnat havaintoasemilta meteorin ilmestyessä, ja tummemmat viivat näyttävät, missä se viimeksi nähtiin. Sininen nuoli näyttää meteorin näkyvän lennon.

static map
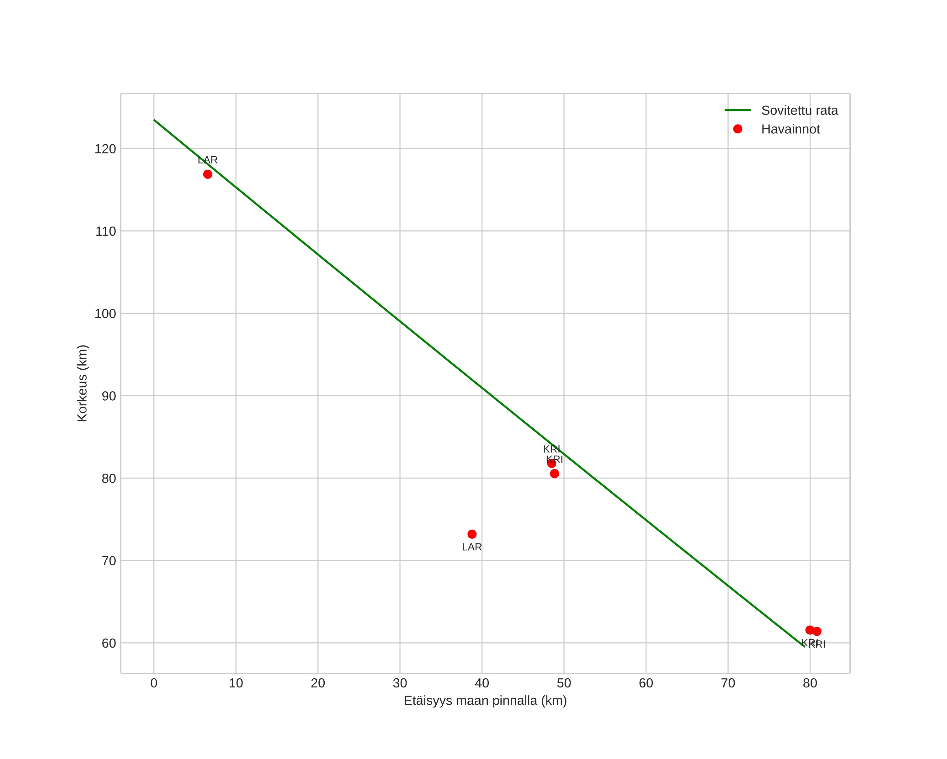
height profile
Meteorin ilmakehärata:
Alkukorkeus: 111,7 km
Loppukorkeus: 61,6 km
Alkupiste: 57,862N 10,605E
Loppupiste: 57,684N 9,500E
Suunta: 253,6°
Kallistuskulma: 36,2°
Tulonopeus: 60,9 km/s
Radiantin R,A,: 02:38 (39,7°)
Radiantin Dekl,: 38,0°
Meteoriparvi: Sporadinen
Meteoroidin rataelementit:
Perihelietäisyys: 0,686 AU
Eksentrisyys: 0,684
Inklinaatio: 136,5°
Nousevan solmun pituus: 158,4°
Perihelin argumentti: 257,8°
Keskianomalia: 345,9°
Epookki: 2021 AUG 31 21:51:08
orbit plot

Ei-interaktiivinen kuvaaja | Interaktiivinen kuvaaja

position vs time
speed and acceleration