🇳🇴 🇬🇧 🇩🇪 🇨🇿 🇫🇮

Meteor, poloha: Egersund 2021-09-03 00:16:16 UTC

Soubor KML  |  InteraktivnĂ­ mapa

Mapa zobrazuje dráhy meteoru. Světlejší čáry ukazují směry od pozorovacích stanic při objevení se meteoru a tmavší čáry, kde byl naposledy viděn. Modrá šipka značí viditelnou dráhu meteoru.

static map
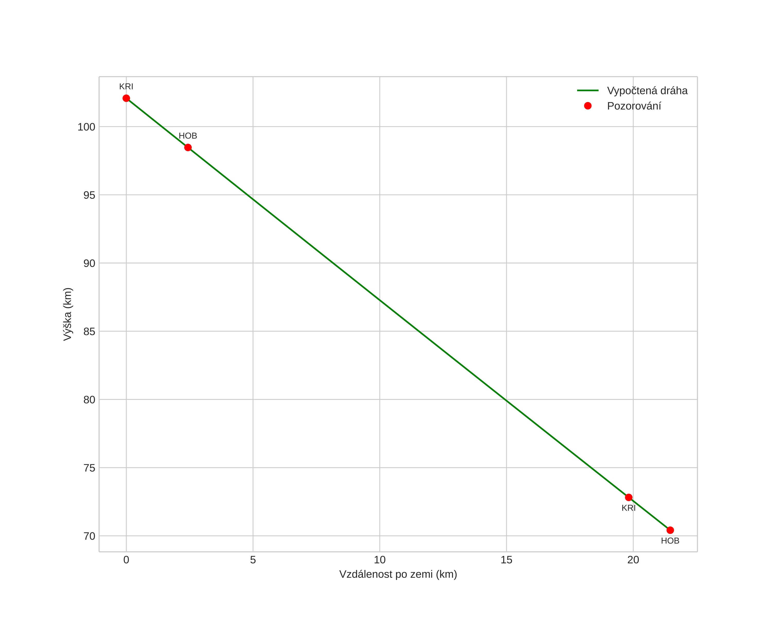
height profile
Atmosférická dráha meteoru:
Počáteční výška: 98,4 km
Konečná výška: 70,3 km
Počáteční poloha: 56,460N 5,410E
Konečná poloha: 56,507N 5,112E
Směr: 286,1°
Sklon: 56,0°
VstupnĂ­ rychlost: 64,3 km/s
Rektascenze radiantu: 02:15 (33,8°)
Deklinace radiantu: 36,9°
MeteorickĂ˝ roj: sporadickĂ˝
Elementy dráhy meteoroidu:
Vzdálenost v periheliu: 0,620 AU
Excentricita: 1,015
Sklon dráhy: 134,3°
Délka vzestupného uzlu: 160,4°
Argument perihelia: 256,4°
Střední anomálie: -0,1°
Epocha: 2021 SEP 03 00:16:16
orbit plot

NeinteraktivnĂ­ graf | InteraktivnĂ­ graf

position vs time
speed and acceleration