🇳🇴 🇬🇧 🇩🇪 🇨🇿 🇫🇮

Meteor Egersundin yllä 2021-09-03 00:16:16 UTC

KML-tiedosto  |  Interaktiivinen kartta

Kartta näyttää meteorin suuntahavainnot. Vaaleammat viivat näyttävät suunnat havaintoasemilta meteorin ilmestyessä, ja tummemmat viivat näyttävät, missä se viimeksi nähtiin. Sininen nuoli näyttää meteorin näkyvän lennon.

static map
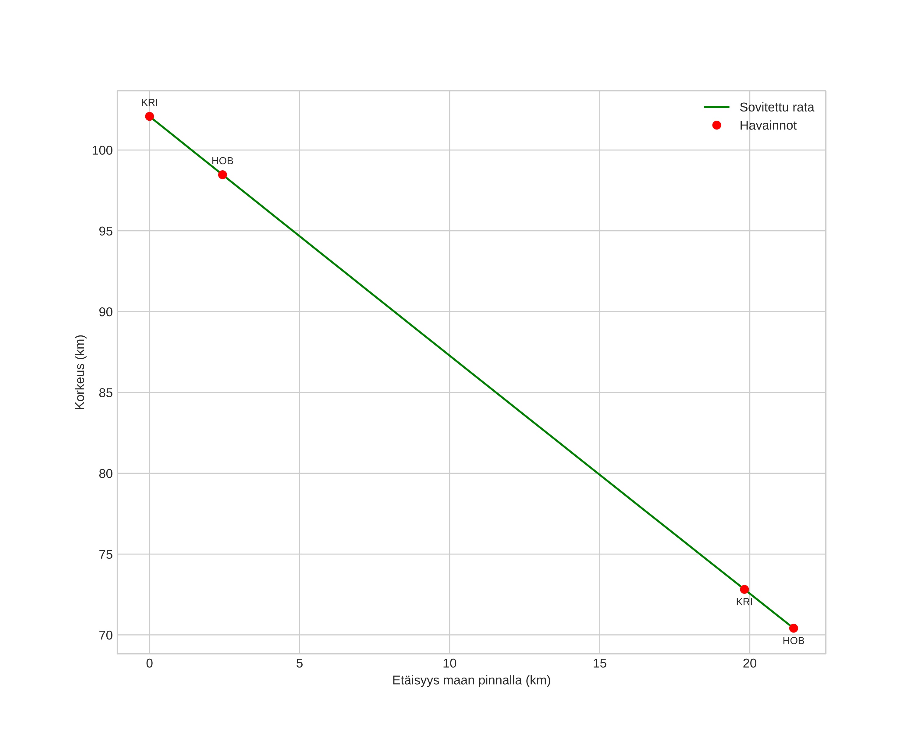
height profile
Meteorin ilmakehärata:
Alkukorkeus: 98,4 km
Loppukorkeus: 70,3 km
Alkupiste: 56,460N 5,410E
Loppupiste: 56,507N 5,112E
Suunta: 286,1°
Kallistuskulma: 56,0°
Tulonopeus: 64,3 km/s
Radiantin R,A,: 02:15 (33,8°)
Radiantin Dekl,: 36,9°
Meteoriparvi: Sporadinen
Meteoroidin rataelementit:
Perihelietäisyys: 0,620 AU
Eksentrisyys: 1,015
Inklinaatio: 134,3°
Nousevan solmun pituus: 160,4°
Perihelin argumentti: 256,4°
Keskianomalia: -0,1°
Epookki: 2021 SEP 03 00:16:16
orbit plot

Ei-interaktiivinen kuvaaja | Interaktiivinen kuvaaja

position vs time
speed and acceleration