🇳🇴 🇬🇧 🇩🇪 🇨🇿 🇫🇮

Meteor, poloha: Hirtshals 2021-09-03 02:37:47 UTC

Soubor KML  |  InteraktivnĂ­ mapa

Mapa zobrazuje dráhy meteoru. Světlejší čáry ukazují směry od pozorovacích stanic při objevení se meteoru a tmavší čáry, kde byl naposledy viděn. Modrá šipka značí viditelnou dráhu meteoru.

static map
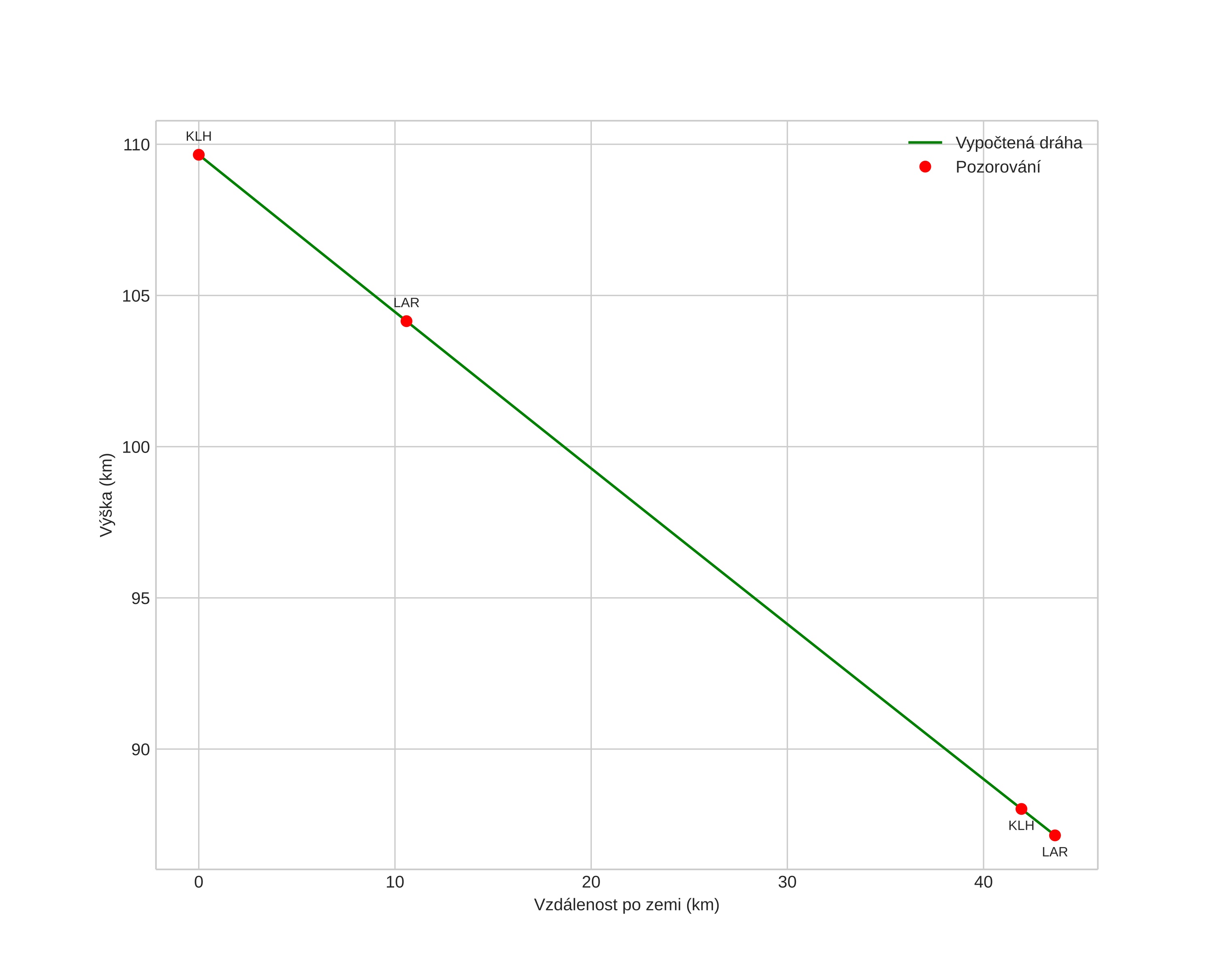
height profile
Atmosférická dráha meteoru:
Počáteční výška: 109,8 km
Konečná výška: 87,1 km
Počáteční poloha: 57,900N 10,436E
Konečná poloha: 57,953N 9,709E
Směr: 278,1°
Sklon: 27,7°
VstupnĂ­ rychlost: 70,2 km/s
Rektascenze radiantu: 06:40 (100,2°)
Deklinace radiantu: 18,8°
MeteorickĂ˝ roj: sporadickĂ˝
Elementy dráhy meteoroidu:
Vzdálenost v periheliu: 0,509 AU
Excentricita: 1,173
Sklon dráhy: 170,3°
Délka vzestupného uzlu: 340,5°
Argument perihelia: 274,7°
Střední anomálie: 7,0°
Epocha: 2021 SEP 03 02:37:47
orbit plot

NeinteraktivnĂ­ graf | InteraktivnĂ­ graf

position vs time
speed and acceleration