🇳🇴 🇬🇧 🇩🇪 🇨🇿 🇫🇮

Meteor Hirtshalsin yllä 2021-09-03 02:37:47 UTC

KML-tiedosto  |  Interaktiivinen kartta

Kartta näyttää meteorin suuntahavainnot. Vaaleammat viivat näyttävät suunnat havaintoasemilta meteorin ilmestyessä, ja tummemmat viivat näyttävät, missä se viimeksi nähtiin. Sininen nuoli näyttää meteorin näkyvän lennon.

static map
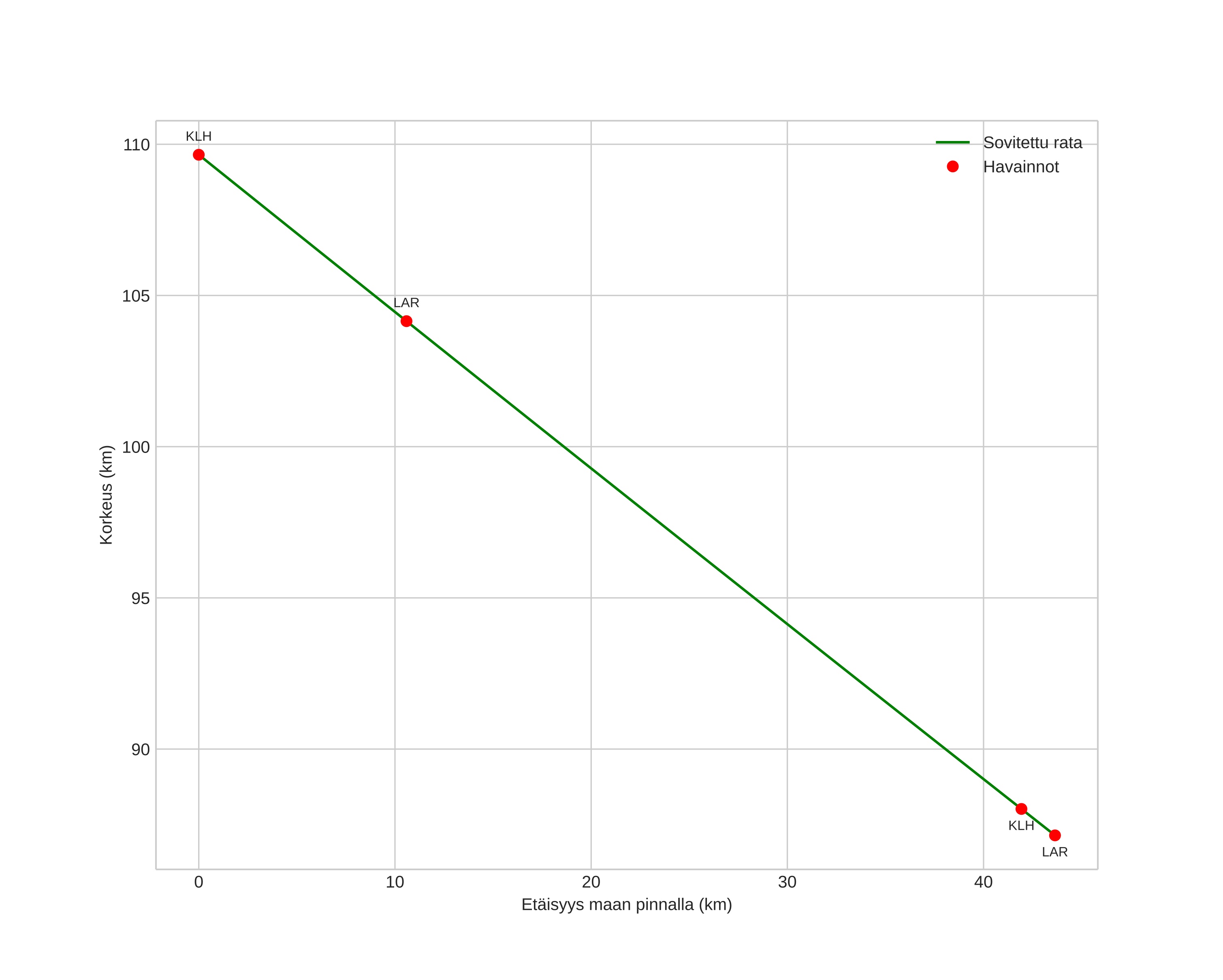
height profile
Meteorin ilmakehärata:
Alkukorkeus: 109,8 km
Loppukorkeus: 87,1 km
Alkupiste: 57,900N 10,436E
Loppupiste: 57,953N 9,709E
Suunta: 278,1°
Kallistuskulma: 27,7°
Tulonopeus: 70,2 km/s
Radiantin R,A,: 06:40 (100,2°)
Radiantin Dekl,: 18,8°
Meteoriparvi: Sporadinen
Meteoroidin rataelementit:
Perihelietäisyys: 0,509 AU
Eksentrisyys: 1,173
Inklinaatio: 170,3°
Nousevan solmun pituus: 340,5°
Perihelin argumentti: 274,7°
Keskianomalia: 7,0°
Epookki: 2021 SEP 03 02:37:47
orbit plot

Ei-interaktiivinen kuvaaja | Interaktiivinen kuvaaja

position vs time
speed and acceleration