🇳🇴 🇬🇧 🇩🇪 🇨🇿 🇫🇮

Meteor, poloha: Prestfoss 2021-09-05 21:05:24 UTC

Soubor KML  |  InteraktivnĂ­ mapa

Mapa zobrazuje dráhy meteoru. Světlejší čáry ukazují směry od pozorovacích stanic při objevení se meteoru a tmavší čáry, kde byl naposledy viděn. Modrá šipka značí viditelnou dráhu meteoru.

static map
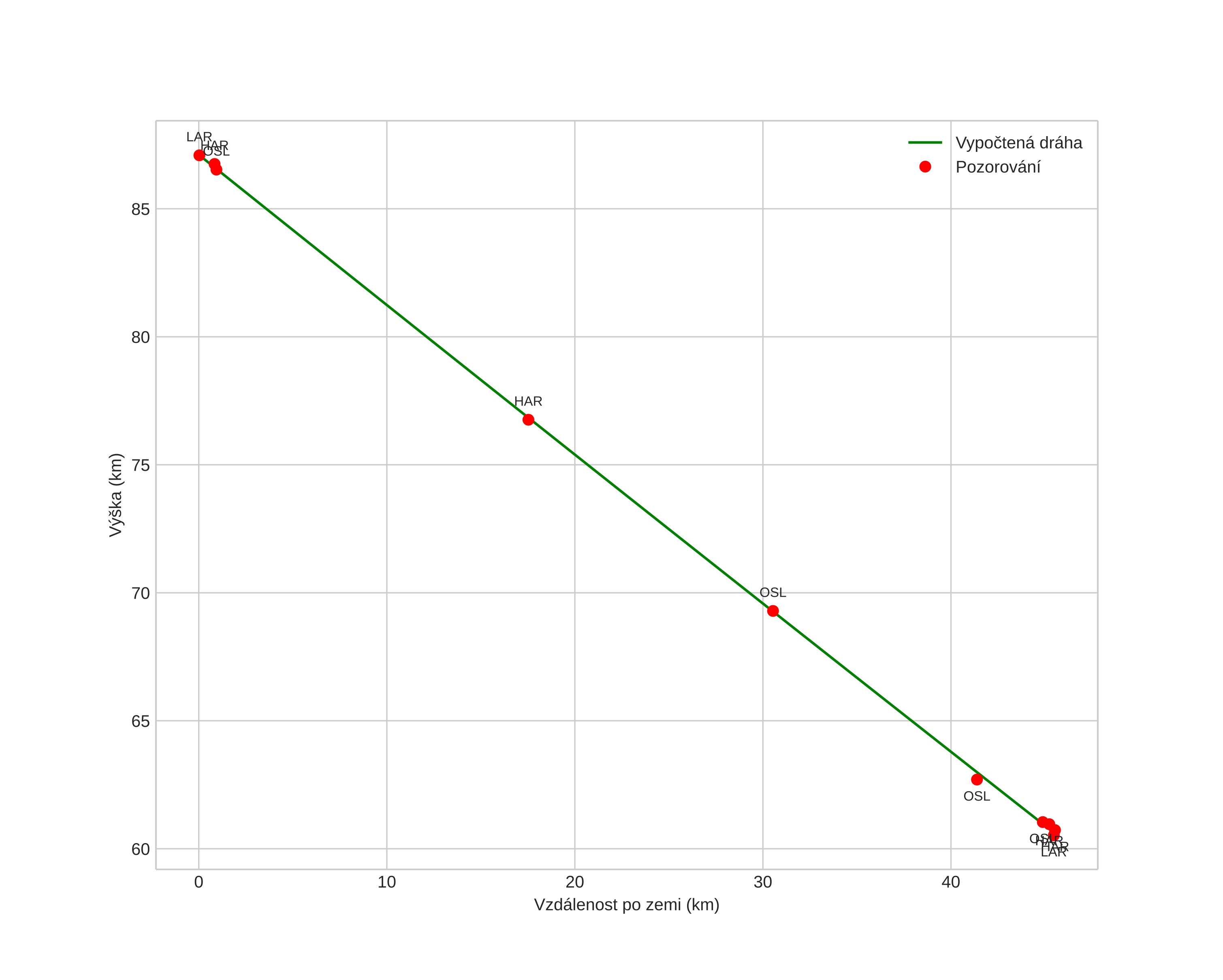
height profile
Atmosférická dráha meteoru:
Počáteční výška: 88,8 km
Konečná výška: 60,4 km
Počáteční poloha: 59,794N 10,421E
Konečná poloha: 60,026N 9,686E
Směr: 302,5°
Sklon: 30,4°
VstupnĂ­ rychlost: 37,2 km/s
Rektascenze radiantu: 23:59 (360,0°)
Deklinace radiantu: 10,3°
MeteorickĂ˝ roj: sporadickĂ˝
Elementy dráhy meteoroidu:
Vzdálenost v periheliu: 0,195 AU
Excentricita: 0,924
Sklon dráhy: 18,6°
Délka vzestupného uzlu: 163,2°
Argument perihelia: 312,8°
Střední anomálie: 351,0°
Epocha: 2021 SEP 05 21:05:24
orbit plot

NeinteraktivnĂ­ graf | InteraktivnĂ­ graf

position vs time
speed and acceleration